本人最近在写一篇关于神经网络同步的文章,其一部分模型为:
x_i^{\Delta}(t)= -a_i*x_i(t)+ b_i* f(x_i(t))+ \sum\limits_{j \in\{i-1, i+1\}}c_{ij}f(x_j(t-\tau_{ij})), t\in\mathbb{R} (1.1)
y_i^{\Delta}(t)= -a_i*y_i(t)+ b_i* f(y_i(t))+ \sum\limits_{j \in\{i-1, i+1\}}c_{ij}f(y_j(t-\tau_{ij})), t\in\mathbb{R} (1.2)
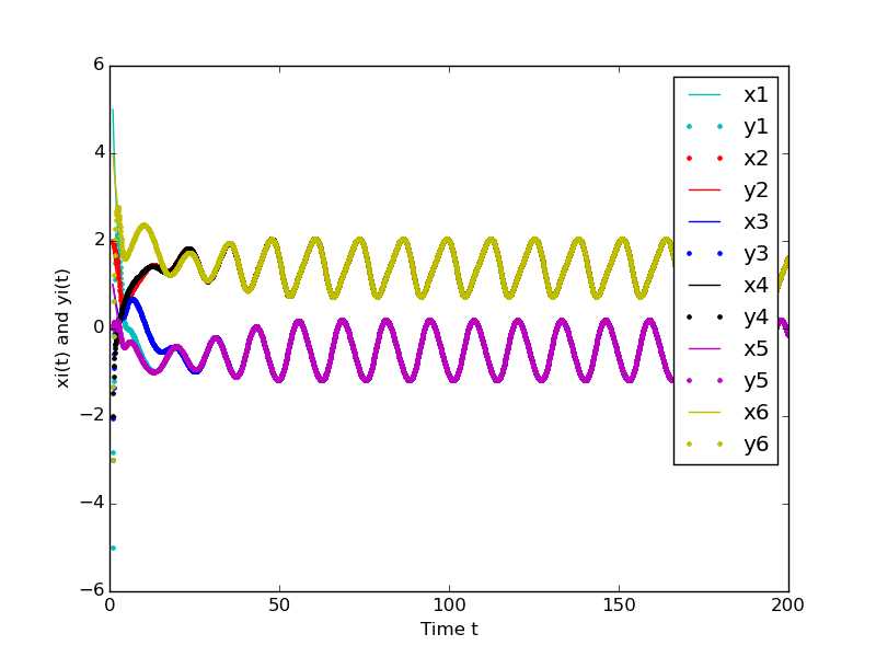
下面利用python求(1.1)-(1.2)的数值解并作出图形:
# Numerical simulation for 3-rd paper # Author: Qiang Xiao # Time: 2015-06-22 import matplotlib.pyplot as plt import numpy as np a= 0.5 b= -0.5 c= 0.5 tau= 1 k= 2 delta= 0.1 T= 200 row= 6 col= int(T/delta) N= 6 x= np.zeros((row, col)) dx= np.zeros((row, col)) y= np.zeros((row, col)) dy= np.zeros((row, col)) x0= [5,2,1,0,1,4] y0= [-5,2,-3,-2,0,-3] for i in range(N): x[i,0:int(tau/delta)+ 1]= x0[i] y[i,0:int(tau/delta)+ 1]= y0[i] print np.e def f(t): return np.cos(t) def j(i): if i== 0: return 1, 5 elif i== 5: return 4, 0 else: return i-1, i+1 for time in range(int(tau/delta),int(T/delta)-1): for i in range(6): dx[i, time]= -a* x[i, time]+ b*f(x[i, time])+ c*f(x[int(j(i)[0]), time- 10])+ c*f(x[int(j(i)[1]), time- 10]) dy[i, time]= -a* y[i, time]+ b*f(y[i, time])+ c*f(y[int(j(i)[0]), time- 10])+ c*f(y[int(j(i)[1]), time- 10])+ k*(x[i, time]- y[i, time]) x[i, time+1]= x[i, time]+ delta*dx[i, time] y[i, time+1]= y[i, time]+ delta*dy[i, time] tt= np.arange(tau,T,delta) print len(tt) plt.plot(tt,x[0,10:int(T/delta)],‘c‘) plt.plot(tt,y[0,10:int(T/delta)],‘c.‘) plt.plot(tt,x[1,10:int(T/delta)],‘r.‘) plt.plot(tt,y[1,10:int(T/delta)],‘r‘) plt.plot(tt,x[2,10:int(T/delta)],‘b‘) plt.plot(tt,y[2,10:int(T/delta)],‘b.‘) plt.plot(tt,x[3,10:int(T/delta)],‘k‘) plt.plot(tt,y[3,10:int(T/delta)],‘k.‘) plt.plot(tt,x[4,10:int(T/delta)],‘m‘) plt.plot(tt,y[4,10:int(T/delta)],‘m.‘) plt.plot(tt,x[5,10:int(T/delta)],‘y‘) plt.plot(tt,y[5,10:int(T/delta)],‘y.‘) plt.xlabel(‘Time t‘) plt.ylabel(‘xi(t) and yi(t)‘) plt.legend((‘x1‘,‘y1‘,‘x2‘,‘y2‘,‘x3‘,‘y3‘,‘x4‘,‘y4‘,‘x5‘,‘y5‘,‘x6‘,‘y6‘)) plt.show()

由上图可以看出,网络单元x_i(t) 与 y_i(t) 分别达成了同步。
欢迎交流!
原文:http://www.cnblogs.com/ruchicyan/p/4596302.html