首页 > 其他 > 详细

MATLAB信号与系统分析(五)——连续时间信号的频谱分析

时间:2015-05-25 22:13:48      阅读:330      评论:0      收藏:0      [点我收藏+]

一、实验目的:

1、掌握傅立叶级数(FS),学会分析连续时间周期信号的频谱分析及MATLAB实现;

2、掌握傅立叶变换(FT),了解傅立叶变换的性质以及MATLAB实现。

 

二、利用符号运算求傅里叶级数的系数

1、复习几个函数:

F1=int(f,v,a,b) — 对f表达式的v变量在(a,b)区间求定积分
F2=subs(s,OLD,NEW)-用新变量NEW代替S中的指定变量OLD。
F3=vpa(x,n) : 显示可变精度计算;x为符号变量,n表示要精确计算的位数。

 

2、周期函数的傅里叶级数的形式

技术分享

 

3、利用符号运算求傅立叶级数的系数

技术分享

技术分享

代码抄袭如下:

%ex_1
%求系数
clear all; syms t x n t0;
T=10;    % 信号周期
tao_2=0.5; %脉冲宽度
Nf=7; % 分解的最高级数
Nn=6; % 有效位数

x=heaviside(t+t0)-heaviside(t-t0); % 注意:Ver 2011b
x=subs(x,t0,tao_2)  

A0=int(x,t,-tao_2,T-tao_2)/T % a0

As=int(x*2*cos(2*pi*n*t/T)/T,t,-tao_2,T-tao_2) % an

Bs=int(x*2*sin(2*pi*n*t/T)/T,t,-tao_2,T-tao_2) % bn

Fn=(As-j*Bs)/2 % fn

A(1)=double(vpa(A0,Nn)); % 直流分量
for k=1:Nf
     A(k+1)=double(vpa(subs(As,n,k),Nn));
     B(k+1)=double(vpa(subs(Bs,n,k),Nn));
end
A
B
%求各次谐波::开始采用数值处理方法
t1=-T/2:0.01:T/2;
f0=A(1);                                             %直流分量
f1=A(2).*cos(2*pi*1*t1/T)+B(2).*sin(2*pi*1*t1/T); ;      % 基波
f2=A(3).*cos(2*pi*2*t1/T)+B(3).*sin(2*pi*2*t1/T); ;                 % 2次谐波
f3=A(4).*cos(2*pi*3*t1/T)+B(4).*sin(2*pi*3*t1/T);                 % 3次谐波
f4=A(5).*cos(2*pi*4*t1/T)+B(5).*sin(2*pi*4*t1/T); ;               % 4次谐波
f5=A(6).*cos(2*pi*5*t1/T)+B(6).*sin(2*pi*5*t1/T);                % 5次谐波
f6=A(7).*cos(2*pi*6*t1/T)+B(7).*sin(2*pi*6*t1/T);               % 6次谐波  
f7=f1+f2+f0;                      % 基波+2次谐波
f8=f7+f3+f0;                     % 基波+2次谐波+3次谐波
f9=f8+f4+f6+f0;                 % 基波+2次谐波+3次谐波+4次谐波+6次谐波 
%画出谐波图形
y=subs(x,t,t1);         %调用连续时间函数-周期矩形脉冲
subplot(2,2,1),plot(t1,f1),hold on;plot(t1,y,r:);title(周期矩形波的形成—基波),axis([-2.5,2.5,-0.5,1.1])
subplot(2,2,2),plot(t1,f7),hold on;plot(t1,y,r:);title(周期矩形波的形成—基波+2次谐波),axis([-2.5,2.5,-0.5,1.1])
subplot(2,2,3),plot(t1,f8),hold on;plot(t1,y,r:);title(基波+2次谐波+3次谐波),axis([-2.5,2.5,-0.5,1.1])
subplot(2,2,4),plot(t1,f9),hold on;plot(t1,y,r:);title(基波+2次谐波+3次谐波+4次谐波+6次谐波),axis([-2.5,2.5,-0.5,1.1])

%求频谱---------------这边给出双边谱的正轴部分,仅供参考
Fn=(As-j*Bs)/2
Nf=60;
A(1)=double(vpa(A0,Nn));
for k=1:Nf
     A(k+1)=double(vpa(subs(As,n,k),Nn));
     B(k+1)=double(vpa(subs(Bs,n,k),Nn));
end
Fn1(1) = A(1);
Fn1(2:Nf+1)=(A(2:Nf+1)-j*B(2:Nf+1))/2;
absFn1 = abs(Fn1);
angleFn1 = angle(Fn1);
figure;
subplot(211);stem([0:Nf],absFn1,r.);title(双边幅度谱的正半轴,注意与p200图比较幅度值)
subplot(212);stem([0:Nf],angleFn1,r.);title(双边相位谱的正半轴)

注意:课件里的基波定义有误,不应该含有直流分量

 

 

技术分享

% 例9_1
% 观察周期方波信号的分解与合成
% m:傅里叶级数展开的项数
clc;clear all;close all;

display(Please input the value of m (傅里叶级数展开的项数)); % 在命令窗口显示提示信息
m = input(m = );                                             % 键盘输入傅里叶级数展开的项数
t = -2*pi:0.01:2*pi;                                            % 时域波形的时间范围-2π~2π,采样间隔0.01
n = round(length(t)/4);                                        % 根据周期方波信号的周期,计算1/2周期的数据点数
f = [ones(n,1);-1*ones(n,1);ones(n,1);-1*ones(n+1,1)];         %构造周期方波信号
y = zeros(m+1,max(size(t)));
y(m+1,:) = f; 
figure(1);
plot(t/pi,y(m+1,:));                                           %绘制方波信号
grid;                                                          %在图形中加入栅格
axis([-2 2 -1.5 1.5]);                                         %指定图形显示的横坐标范围和纵坐标范围
title(周期方波);                                             %给显示的图形加上标题
xlabel(单位pi,Fontsize, 8);                                %显示横坐标单位
x = zeros(size(t));
kk = 1;
for k=1:2:2*m-1                                                %循环显示谐波叠加图形
    pause;
    x = x+sin(k*t)/k;
    y((k+1)/2,:) = 4/pi*x;                                     %计算各次谐波叠加和
    plot(t/pi,y(m+1,:));
    hold on;
    plot(t/pi,y((k+1)/2,:));                                   %绘制谐波叠加信号
    hold off;
    grid;
    axis([-2 2 -1.5 1.5]);
    title(strcat(,kk,次谐波叠加));
    xlabel(单位pi,Fontsize, 8);
    kk = strcat(kk,,num2str(k+2));
end
pause;
plot(t/pi,y(1:m+1,:));
grid;
axis([-2 2 -1.5 1.5]);
title(各次谐波叠加波形);
xlabel(单位pi,Fontsize, 8);
% End

 

4、周期信号的频谱分析:

技术分享

%ex_3求频谱
clear all;syms t x n t0;
T=5;tao=0.5;Nf=60;Nn=6;
x=heaviside(t+t0)-heaviside(t-t0)
x=subs(x,t0,tao)
A0=int(x,t,-tao,T-tao)/T
As=int(x*2*cos(2*pi*n*t/T)/T,t,-tao,T-tao)
Bs=int(x*2*sin(2*pi*n*t/T)/T,t,-tao,T-tao)
Fn=(As-j*Bs)/2
A(1)=double(vpa(A0,Nn));
for k=1:Nf
     A(k+1)=double(vpa(subs(As,n,k),Nn));
     B(k+1)=double(vpa(subs(Bs,n,k),Nn));
end
t1=-2.5:0.003:2.5;
y=subs(x,t,t1);
subplot(3,1,1),plot(t1,y),title(矩形脉冲),axis([-2.5,2.5,-0.1,1.1])
%单边谱
Fs(1)=A(1);
Fs(2:Nf+1)=abs(A(2:Nf+1)-j.*B(2:Nf+1));
Ns=0:Nf;
subplot(3,1,2),stem(Ns,Fs),title(连续时间函数的单边谱)
%双边谱
N=Nf*2*pi/T;
K=-N:2*pi/T:N;
Fs(2:Nf+1)=abs(A(2:Nf+1)-j.*B(2:Nf+1))/2;
Fd=[fliplr(Fs),Fs(2:Nf+1)];
subplot(3,1,3),stem(K,Fd),title(连续时间函数的双边谱)

 

5、利用MATLAB实现典型周期信号的频谱

(1)周期方波脉冲频谱的Matlab实现

% 周期方波信号频谱分析
function  CTFS_SQ
%  绘制并观察周期方波信号频谱   
%  Nf:傅里叶级数展开的项数
%  an:各次谐波余弦项系数
display(Please input the value of Nf );
Nf = input(Nf = );
an = zeros(Nf+1,1);
cn(1) = 0;
for i = 1:Nf 
    an(i+1) = 2/(i*pi)*sin(i*pi/2);                     %计算系数an
    cn(i+1) = abs(2/(i*pi)*sin(i*pi/2));                %计算幅度谱
end
t = -5:0.01:5;
x = square(pi*(t+0.5));                                 %用square函数求方波信号
subplot(211);
plot(t,x);                                              %绘制方波信号
axis([-5 5 -1.5 1.5]);
title(周期方波信号,Fontsize,8);
xlabel(t   (单位:s), Fontsize,8);
subplot(212);
k = 0:Nf;
stem(k,cn);
hold on;
plot(k,cn);
title(幅度频谱,Fontsize,8);
xlabel(谐波次数, Fontsize,8);
% End

 

(2)周期锯齿波脉冲频谱的Matlab实现

% 周期锯齿脉冲信号频谱分析
function  CTFS_JC
% 绘制并观察周期锯齿脉冲信号频谱特性
%     Nf:谐波的次数
% bn:第1,2,3,...次谐波正弦项系数
display(Please input the value of Nf );
Nf = input(Nf = );
bn = zeros(Nf+1,1);
cn = zeros(Nf+1,1);
bn(1) = 0;
for i = 1:Nf
    bn(i+1) = (-1)^(i+1)*1/(i*pi);                          % 计算系数bn
    cn(i+1) = abs(bn(i+1));                                 %计算幅度频谱
end
t = -5:0.01:5;
x = sawtooth(pi*(t+1));                                     %用sawtooth函数构造周期锯齿脉冲信号
subplot(211);
plot(t,x);
axis([-5 5 -1.5 1.5]);
title(周期锯齿脉冲信号,Fontsize,8);
xlabel(t   (单位:s), Fontsize,8);
subplot(212);
k = 0:Nf;
stem(k,cn);
hold on;
plot(k,cn);
title(幅度频谱,Fontsize,8);
xlabel(谐波次数, Fontsize,8);
% End

 

(3)周期三角波脉冲频谱的Matlab实现

% 周期三角脉冲信号频谱分析
function  CTFS_SJ
%  绘制周期三角脉冲信号频谱
%     Nf:谐波的次数
%  an:第1,2,3,...次谐波余弦项系数
display(Please input the value of Nf );
Nf = input(Nf = );
an = zeros(Nf+1,1);
cn = zeros(Nf+1,1);
an(1) = 1/2;
an(1) = an(1);
for i = 1:Nf
    an(i+1) = 4*sin(i*pi/2)*sin(i*pi/2)/(i*i*pi*pi);
    cn(i+1) = abs(an(i+1));
end
t = -5:0.01:5;
x = (sawtooth(pi*(t+1),0.5)+1)/2;                        %构造三角脉冲信号
subplot(211);
plot(t,x);
axis([-5 5 -1.5 1.5]);
title(周期三角脉冲信号,Fontsize,8);
xlabel(t   (单位:s), Fontsize,8);
subplot(212);
k = 0:Nf;
stem(k,cn);
hold on;
plot(k,cn);
title(幅度频谱,Fontsize,8);
xlabel(谐波次数, Fontsize,8);
% End

 

三、非周期函数的傅立叶变换

技术分享

1、利用符号函数求傅立叶变换

傅立叶变换:F=fourier(f);        F,f应为符号表达式
反傅立叶变换:f=ifourier(F);

 

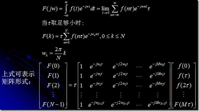
2、连续时间信号傅立叶变换的数值计算

技术分享

代码实现

%ex_4
clear all;
R=0.01;
t=-2:R:2;
f=Heaviside(t+1)-Heaviside(t-1);
W1=2*pi*5;
N=1000;k=-N:N;W=k*W1/N;

F=f*exp(-j*t*W)*R;
F_r=real(F);
figure(1)
subplot(2,1,1);plot(t,f);
xlabel(t);ylabel(f(t));title(f(t)=u(t+1)-u(t-1));
subplot(2,1,2);plot(W,F_r);
xlabel(w);ylabel(F(w));title(f(t)的付氏变换F(w));
F_A=abs(F);%幅频特性
F_P=angle(F);%相频特性
figure(2)
subplot(2,1,1),plot(W,F_A),xlabel(w);ylabel(abs(F(w)));title(f(t)幅频特性));
subplot(2,1,2),plot(W,F_P),xlabel(w);ylabel(angle(F(w)));title(f(t)相频特性));

MATLAB信号与系统分析(五)——连续时间信号的频谱分析

原文:http://www.cnblogs.com/BlueMountain-HaggenDazs/p/4528779.html

(0)
(0)
   
举报
评论 一句话评论(0
关于我们 - 联系我们 - 留言反馈 - 联系我们:wmxa8@hotmail.com
© 2014 bubuko.com 版权所有
打开技术之扣,分享程序人生!