首页 > 其他 > 详细

整值多项式

时间:2015-03-26 22:41:40      阅读:327      评论:0      收藏:0      [点我收藏+]

整值多项式

1、整值多项式。

  技术分享

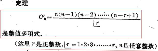
2、组合数是整值多项式。

  技术分享

  技术分享

  技术分享

3、组合数整值多项式的另一种说明。

  技术分享

4、例题一。

  技术分享

5、例题二。

  技术分享

6、例题三。

  技术分享

  技术分享

7、例题四。

  技术分享

8、例题五。

  技术分享

9、例题六。

  技术分享

10、例题七。

  技术分享

11、例题八。

  技术分享

  技术分享

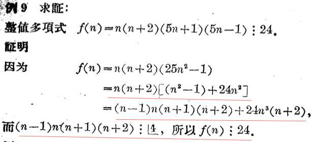
12、例题九。

  技术分享

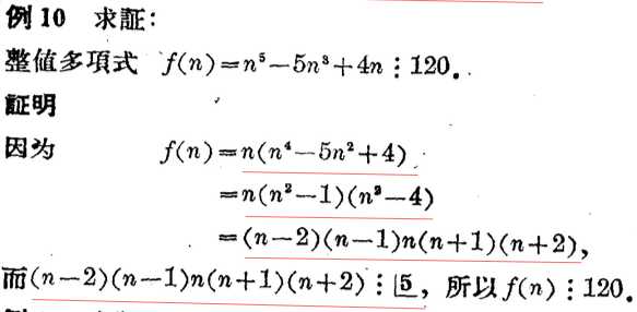
13、例题十。

  技术分享

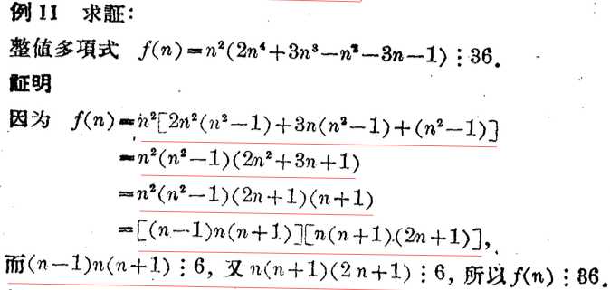
14、例题十一。

  技术分享

15、例题十二。

  技术分享

16、例题十三。

  技术分享

17、例题十四。

  技术分享

整值多项式

原文:http://www.cnblogs.com/tekka/p/4370184.html

(0)
(0)
   
举报
评论 一句话评论(0
关于我们 - 联系我们 - 留言反馈 - 联系我们:wmxa8@hotmail.com
© 2014 bubuko.com 版权所有
打开技术之扣,分享程序人生!