首页 > 其他 > 详细

同余式

时间:2015-03-26 22:16:58      阅读:222      评论:0      收藏:0      [点我收藏+]

同余式

1、绝对同余式。

  技术分享

2、无解同余式。

  技术分享

3、条件同余式。

  技术分享

4、同余式的解法。

  技术分享

5、同余式解的个数。

  技术分享

  例题:

  技术分享

6、同余式组。

  技术分享

7、同余式最高次定理。

  技术分享

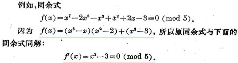
  例:

  技术分享

8、条件同余式与绝对同余式的区别。

  技术分享

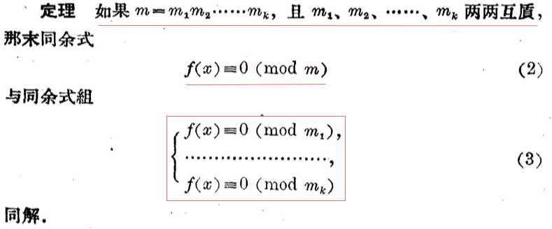
9、同余式组定理。

  技术分享

  技术分享

  技术分享

10、遗留问题。

  技术分享

同余式

原文:http://www.cnblogs.com/tekka/p/4369880.html

(0)
(0)
   
举报
评论 一句话评论(0
关于我们 - 联系我们 - 留言反馈 - 联系我们:wmxa8@hotmail.com
© 2014 bubuko.com 版权所有
打开技术之扣,分享程序人生!