基于邻域的算法是推荐系统中最基本的算法,该算法不仅在学术界得到了深入研究,而且在业界得到了广泛应用。基于邻域的算法分为两大类,一类是基于用户的协同过滤算法,另一类是基于物品的协同过滤算法。
我们先来看看基于用户的协同过滤算法,基于物品的协同过滤算法大体思路和基于用户的差不多,可以自己参考对比学习。
每年新学期开始,刚进实验室的师弟总会问师兄相似的问题,比如“我应该买什么专业书啊”、“我应该看什么论文啊”等。这个时候,师兄一般会给他们做出一些推荐。这就是现实中个性化推荐的一种例子。在这个例子中,师弟可能会请教很多师兄,然后做出最终的判断。师弟之所以请教师兄,一方面是因为他们有社会关系,互相认识且信任对方,但更主要的原因是师兄和师弟有共同的研究领域和兴趣。那么,在一个在线个性化推荐系统中,当一个用户A需要个性化推荐时,可以先找到和他有相似兴趣的其他用户,然后把那些用户喜欢的、而用户A没有听说过的物品推荐给A。这种方法称为基于用户的协同过滤算法。
基于用户的协同过滤算法主要包括两个步骤。
(1) 找到和目标用户兴趣相似的用户集合。
(2) 找到这个集合中的用户喜欢的,且目标用户没有听说过的物品推荐给目标用户。
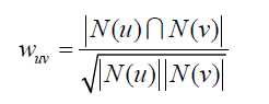
步骤(1)的关键就是计算两个用户的兴趣相似度。这里,协同过滤算法主要利用行为的相似度计算兴趣的相似度。给定用户u和用户v,令N(u)表示用户u曾经有过正反馈的物品集合,令N(v)为用户v曾经有过正反馈的物品集合。那么,我们可以通过如下的Jaccard公式简单地计算u和v的兴趣相似度或者通过余弦公式:
jaccard 余项公式:
:

这个一个行为记录 我们可以根据余弦公式计算如下

以余弦相似度为例,实现该相似度可以利用下面的伪代码:
def UserSimilarity(train): W = dict() for u in train.keys(): for v in train.keys(): if u == v: continue W[u][v] = len(train[u] & train[v]) W[u][v] = /= math.sqrt(len(train[u]) * len(train[v]) * 1.0) return W
这种方法的时间复杂度是O(|U|*|U|),这在用户数很大时非常耗时。事实上,很多用户相互之间并没有对同样的物品产生过行为,即很多时候N(u)^ N(v) = 0。上面的算法将很多时间浪费在了计算这种用户之间的相似度上。如果换一个思路,我们可以首先计算出N(u)^ N(v) != 0 的用户对(u,v),然后再对这种情况除以分母sqrt(N(u)*N(v)) 。
为此,可以首先建立物品到用户的倒排表,对于每个物品都保存对该物品产生过行为的用户列表。令稀疏矩阵C[u][v]= N(u)^ N(v) 。那么,假设用户u和用户v同时属于倒排表中K个物品对应的用户列表,就有C[u][v]=K。从而,可以扫描倒排表中每个物品对应的用户列表,将用户列表中的两两用户对应的C[u][v]加1,最终就可以得到所有用户之间不为0的C[u][v]
def UserSimilarity(train): # build inverse table for item_users item_users = dict() for u, items in train.items(): for i in items.keys(): if i not in item_users: item_users[i] = set() item_users[i].add(u) #calculate co-rated items between users C = dict() N = dict() for i, users in item_users.items(): for u in users: N[u] += 1 for v in users: if u == v: continue C[u][v] += 1 #calculate finial similarity matrix W W = dict() for u, related_users in C.items(): for v, cuv in related_users.items(): W[u][v] = cuv / math.sqrt(N[u] * N[v]) return W
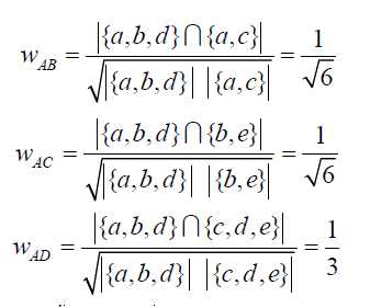
下面是按照想法建立的稀疏矩阵,对于物品a,将W[A][B]和W[B][A]加1,对于物品b,将W[A][C]和W[C][A]加1,以此类推,扫描完所有物品后,我们可以得到最终的W矩阵,这里的W是余弦相似度中的分子部分,然后将W除以分母可以得到最终的用户兴趣相似度


得到用户之间的兴趣相似度后,UserCF算法会给用户推荐和他兴趣最相似的K个用户喜欢的物品。上面右边公式度量了UserCF算法中用户u对物品i的感兴趣程度:其中,S(u, K)包含和用户u兴趣最接近的K个用户,N(i)是对物品i有过行为的用户集合,Wuv是用户u和用户v的兴趣相似度,Rvi代表用户v对物品i的兴趣,因为使用的是单一行为的隐反馈数据,所以所有的Rvi=1。
如下代码实现了上面的UserCF推荐算法:
def Recommend(user, train, W): rank = dict() interacted_items = train[user] for v, wuv in sorted(W[u].items, key=itemgetter(1), reverse=True)[0:K]: for i, rvi in train[v].items: if i in interacted_items: #we should filter items user interacted before continue rank[i] += wuv * rvi return rank
选取K=3,用户A对物品c、e没有过行为,因此可以把这两个物品推荐给用户A。根据UserCF算法,用户A对物品c、e的兴趣是:
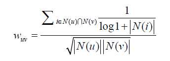
如果两个用户都曾经买过《新华字典》,这丝毫不能说明他们兴趣相似,因为绝大多数中国人小时候都买过《新华字典》。但如果两个用户都买过《数据挖掘导论》,那可以认为他们的兴趣比较相似,因为只有研究数据挖掘的人才会买这本书。换句话说,两个用户对冷门物品采取过同样的行为更能说明他们兴趣的相似度。因此,John S. Breese在论文①中提出了如下公式,根据用户行为计算用户的兴趣相似度:

分子中的倒数惩罚了用户u和用户v共同兴趣列表中热门物品对他们相似度的影响。N(i)是对物品i有过行为的用户集合,越热门,N(i)越大
def UserSimilarity(train): # build inverse table for item_users item_users = dict() for u, items in train.items(): for i in items.keys(): if i not in item_users: item_users[i] = set() item_users[i].add(u) #calculate co-rated items between users C = dict() N = dict() for i, users in item_users.items(): for u in users: N[u] += 1 for v in users: if u == v: continue C[u][v] += 1 / math.log(1 + len(users)) #calculate finial similarity matrix W W = dict() for u, related_users in C.items(): for v, cuv in related_users.items(): W[u][v] = cuv / math.sqrt(N[u] * N[v]) return W
原文:http://www.cnblogs.com/qwj-sysu/p/4368874.html