首页 > 其他 > 详细

年金终值公式的推导

时间:2015-03-13 10:41:49      阅读:578      评论:0      收藏:0      [点我收藏+]

技术分享

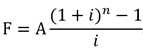
设每年的支付金额为A,利率为i,期数为n,则按复利计算的年金终值F为:

技术分享

等式两边同乘以(1+i):

技术分享

上面两式相减可得:

技术分享

可得:

 

技术分享

年金终值公式的推导

原文:http://www.cnblogs.com/xpvincent/p/4334427.html

(0)
(0)
   
举报
评论 一句话评论(0
关于我们 - 联系我们 - 留言反馈 - 联系我们:wmxa8@hotmail.com
© 2014 bubuko.com 版权所有
打开技术之扣,分享程序人生!