首页 > 其他 > 详细

梯度 方向倒数 条件机制 拉格朗日乘数

时间:2014-11-23 12:58:30      阅读:374      评论:0      收藏:0      [点我收藏+]

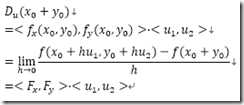
方向导数定理。偏微分点乘方向单位向量

bubuko.com,布布扣

 

梯度最大的方向导数,标量场中某一点上梯度指向标量场中增长最快的方向。梯度的长度是这个导数值。

 

条件极值。对自变量有附加条件的极值。

e.g.:表面积为S的体积最大的长方体max(xyz)|2(xy+yz+xz)=s

转化无条件极值,利用拉格朗日乘数法

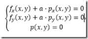
要找z=f(x,y)在条件p(x,y)下的可能极值点

1.构造F(x,y) = f(x,y)+a·p(x,y)其中a为拉格朗日乘数

2.bubuko.com,布布扣解出来x,y,a其中(x,y)就是可能的极值点坐标

梯度 方向倒数 条件机制 拉格朗日乘数

原文:http://www.cnblogs.com/stevinwang/p/4116356.html

(0)
(0)
   
举报
评论 一句话评论(0
关于我们 - 联系我们 - 留言反馈 - 联系我们:wmxa8@hotmail.com
© 2014 bubuko.com 版权所有
打开技术之扣,分享程序人生!