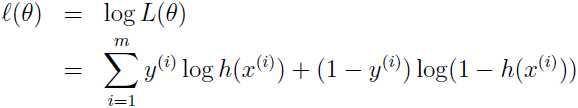
在
中我们提到最大化参数θ的最大化似然函数

可以用梯度下降法,对参数进行更新直至上面的对数似然函数收敛。下面引入另一种方法:牛顿方法。
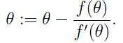
开始,首先我们考虑如何找到一个函数的零点。也就是我们有一个函数:
,我们希望找到一个值θ,使得
.
我们首先随机取某一点(x,f(x)),那么f(x)在该点处的斜率就是f‘(x),根据几何学该点处的斜率同样等于(f(x)-f(θ))/(x-θ);
于是有:f‘(x) = (f(x)-f(θ))/(x-θ),又f(θ) = 0我们可以得到:θ = x - f(x) / f‘(x);这就是如何由任一点x寻找到θ的公式,很自然的得出在寻找f(x)
零点的时候,参数θ的迭代规则:

下面是牛顿法的执行过程:

由上图可以看出在迭代过程中我们所取得点(红色标注)慢慢靠近零点(θ,0).
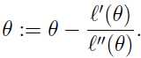
好了,牛顿法给了我们如何找出函数零点的方法,如何用来最大化上面最开始提到的似然函数呢?
根据解析几何,很容易想到,函数的最大点对应着函数的导数为0的点,于是,我们的目标就变为寻找
的零点。
也就是说我们让
,这样在最大化似然函数的时候,很容易得出参数更新规则:

在逻辑回归中,θ通常是个矢量值,所以对于多维的牛顿法更新规则:

其中
是
关于θ的偏导数向量,H被称为海森矩阵(Hessian):

牛顿法收敛速度要比梯度下降快,而且迭代次数要求很小.但是由于每一步都需要计算海森矩阵的逆,所以当维数太大时,就不太划算。即当变量维数不是很大的时候,
牛顿法的速度通常会比较快。
具体matlba操作,参考我的博客:逻辑回归实战。
原文:http://www.cnblogs.com/90zeng/p/newton_method.html