首页 > 其他 > 详细

HUFFMAN 树

时间:2014-09-28 15:27:24      阅读:280      评论:0      收藏:0      [点我收藏+]

在一般的数据结构的书中,树的那章后面,著者一般都会介绍一下哈夫曼(HUFFMAN)

树和哈夫曼编码。哈夫曼编码是哈夫曼树的一个应用。哈夫曼编码应用广泛,如

JPEG中就应用了哈夫曼编码。 首先介绍什么是哈夫曼树。哈夫曼树又称最优二叉树,

是一种带权路径长度最短的二叉树。所谓树的带权路径长度,就是树中所有的叶结点

的权值乘上其到根结点的 路径长度(若根结点为0层,叶结点到根结点的路径长度

为叶结点的层数)。树的带权路径长度记为WPL= (W1*L1+W2*L2+W3*L3+...+Wn*Ln)

,N个权值Wi(i=1,2,...n)构成一棵有N个叶结点的二叉树,相应的叶结点的路径

长度为Li(i=1,2,...n)。可以证明哈夫曼树的WPL是最小的。

哈夫曼编码步骤:

一、对给定的n个权值{W1,W2,W3,...,Wi,...,Wn}构成n棵二叉树的初始集合F= {T1,T2,T3,...,Ti,...,Tn},其中每棵二叉树Ti中只有一个权值为Wi的根结点,它的左右子树均为空。(为方便在计算机上实现算 法,一般还要求以Ti的权值Wi的升序排列。)
二、在F中选取两棵根结点权值最小的树作为新构造的二叉树的左右子树,新二叉树的根结点的权值为其左右子树的根结点的权值之和。
三、从F中删除这两棵树,并把这棵新的二叉树同样以升序排列加入到集合F中。
四、重复二和三两步,直到集合F中只有一棵二叉树为止。

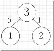
简易的理解就是,假如我有A,B,C,D,E五个字符,出现的频率(即权值)分别为5,4,3,2,1,那么我们第一步先取两个最小权值作为左右子树构造一个新树,即取1,2构成新树,其结点为1+2=3,如图:

bubuko.com,布布扣

虚线为新生成的结点,第二步再把新生成的权值为3的结点放到剩下的集合中,所以集合变成{5,4,3,3},再根据第二步,取最小的两个权值构成新树,如图:

bubuko.com,布布扣

再依次建立哈夫曼树,如下图:

bubuko.com,布布扣

其中各个权值替换对应的字符即为下图:

bubuko.com,布布扣

所以各字符对应的编码为:A->11,B->10,C->00,D->011,E->010

霍夫曼编码是一种无前缀编码。解码时不会混淆。其主要应用在数据压缩,加密解密等场合。

 

C语言代码实现:

/*-------------------------------------------------------------------------
 * Name:   哈夫曼编码源代码。
 * Date:   2011.04.16
 * Author: Jeffrey Hill+Jezze(解码部分)
 * 在 Win-TC 下测试通过
 * 实现过程:着先通过 HuffmanTree() 函数构造哈夫曼树,然后在主函数 main()中
 *           自底向上开始(也就是从数组序号为零的结点开始)向上层层判断,若在
 *           父结点左侧,则置码为 0,若在右侧,则置码为 1。最后输出生成的编码。
 *------------------------------------------------------------------------*/
#include <stdio.h>
#include<stdlib.h>
 
#define MAXBIT      100
#define MAXVALUE  10000
#define MAXLEAF     30
#define MAXNODE    MAXLEAF*2 -1
 
typedef struct 
{
    int bit[MAXBIT];
    int start;
} HCodeType;        /* 编码结构体 */
typedef struct
{
    int weight;
    int parent;
    int lchild;
    int rchild;
    int value;
} HNodeType;        /* 结点结构体 */
 
/* 构造一颗哈夫曼树 */
void HuffmanTree (HNodeType HuffNode[MAXNODE],  int n)
{ 
    /* i、j: 循环变量,m1、m2:构造哈夫曼树不同过程中两个最小权值结点的权值,
        x1、x2:构造哈夫曼树不同过程中两个最小权值结点在数组中的序号。*/
    int i, j, m1, m2, x1, x2;
    /* 初始化存放哈夫曼树数组 HuffNode[] 中的结点 */
    for (i=0; i<2*n-1; i++)
    {
        HuffNode[i].weight = 0;//权值 
        HuffNode[i].parent =-1;
        HuffNode[i].lchild =-1;
        HuffNode[i].rchild =-1;
        HuffNode[i].value=i; //实际值,可根据情况替换为字母  
    } /* end for */
 
    /* 输入 n 个叶子结点的权值 */
    for (i=0; i<n; i++)
    {
        printf ("Please input weight of leaf node %d: \n", i);
        scanf ("%d", &HuffNode[i].weight);
    } /* end for */
 
    /* 循环构造 Huffman 树 */
    for (i=0; i<n-1; i++)
    {
        m1=m2=MAXVALUE;     /* m1、m2中存放两个无父结点且结点权值最小的两个结点 */
        x1=x2=0;
        /* 找出所有结点中权值最小、无父结点的两个结点,并合并之为一颗二叉树 */
        for (j=0; j<n+i; j++)
        {
            if (HuffNode[j].weight < m1 && HuffNode[j].parent==-1)
            {
                m2=m1; 
                x2=x1; 
                m1=HuffNode[j].weight;
                x1=j;
            }
            else if (HuffNode[j].weight < m2 && HuffNode[j].parent==-1)
            {
                m2=HuffNode[j].weight;
                x2=j;
            }
        } /* end for */
            /* 设置找到的两个子结点 x1、x2 的父结点信息 */
        HuffNode[x1].parent  = n+i;
        HuffNode[x2].parent  = n+i;
        HuffNode[n+i].weight = HuffNode[x1].weight + HuffNode[x2].weight;
        HuffNode[n+i].lchild = x1;
        HuffNode[n+i].rchild = x2;
 
        printf ("x1.weight and x2.weight in round %d: %d, %d\n", i+1, HuffNode[x1].weight, HuffNode[x2].weight);  /* 用于测试 */
        printf ("\n");
    } /* end for */
  /*  for(i=0;i<n+2;i++)
    {
        printf(" Parents:%d,lchild:%d,rchild:%d,value:%d,weight:%d\n",HuffNode[i].parent,HuffNode[i].lchild,HuffNode[i].rchild,HuffNode[i].value,HuffNode[i].weight);
                  }*///测试 
} /* end HuffmanTree */
 
//解码 
void decodeing(char string[],HNodeType Buf[],int Num)
{
  int i,tmp=0,code[1024];
  int m=2*Num-1;
  char *nump;
  char num[1024];
  for(i=0;i<strlen(string);i++)
  {
   if(string[i]==‘0‘)
  num[i]=0;        
  else
  num[i]=1;                    
  } 
  i=0;
  nump=&num[0];
  
 while(nump<(&num[strlen(string)]))
 {tmp=m-1;
  while((Buf[tmp].lchild!=-1)&&(Buf[tmp].rchild!=-1))
  {
  
   if(*nump==0)
   {
     tmp=Buf[tmp].lchild ;          
   } 
   else tmp=Buf[tmp].rchild;
   nump++;
        
  } 
  
  printf("%d",Buf[tmp].value);                                  
 }
 
  
}
 
 
int main(void)
{
    
    HNodeType HuffNode[MAXNODE];            /* 定义一个结点结构体数组 */
    HCodeType HuffCode[MAXLEAF],  cd;       /* 定义一个编码结构体数组, 同时定义一个临时变量来存放求解编码时的信息 */
    int i, j, c, p, n;
    char pp[100];
    printf ("Please input n:\n");
    scanf ("%d", &n);
    HuffmanTree (HuffNode, n);
   
    
    for (i=0; i < n; i++)
    {
        cd.start = n-1;
        c = i;
        p = HuffNode[c].parent;
        while (p != -1)   /* 父结点存在 */
        {
            if (HuffNode[p].lchild == c)
                cd.bit[cd.start] = 0;
            else
                cd.bit[cd.start] = 1;
            cd.start--;        /* 求编码的低一位 */
            c=p;                    
            p=HuffNode[c].parent;    /* 设置下一循环条件 */
        } /* end while */
        
        /* 保存求出的每个叶结点的哈夫曼编码和编码的起始位 */
        for (j=cd.start+1; j<n; j++)
        { HuffCode[i].bit[j] = cd.bit[j];}
        HuffCode[i].start = cd.start;
    } /* end for */
    
    /* 输出已保存好的所有存在编码的哈夫曼编码 */
    for (i=0; i<n; i++)
    {
        printf ("%d ‘s Huffman code is: ", i);
        for (j=HuffCode[i].start+1; j < n; j++)
        {
            printf ("%d", HuffCode[i].bit[j]);
        }
        printf(" start:%d",HuffCode[i].start);
       
        printf ("\n");
        
    }
/*    for(i=0;i<n;i++){
    for(j=0;j<n;j++)
        {
             printf ("%d", HuffCode[i].bit[j]);           
        }
        printf("\n");
        }*/
    printf("Decoding?Please Enter code:\n");
    scanf("%s",&pp);
decodeing(pp,HuffNode,n);
    getch();
    return 0;
}

  

HUFFMAN 树

原文:http://www.cnblogs.com/youngKen/p/3998245.html

(0)
(0)
   
举报
评论 一句话评论(0
关于我们 - 联系我们 - 留言反馈 - 联系我们:wmxa8@hotmail.com
© 2014 bubuko.com 版权所有
打开技术之扣,分享程序人生!