Balance 其实是用于设置左右平衡的,现在手机上立体声喇叭也多起来了,说直观点效果就是设置左右喇叭音量大小的。另外说下音量平衡这个功能在车机上也有需求,结合前后淡化(Fade),可实现声场的效果。为此谷歌引入了AudioControl,通过 setBalanceTowardRight() setFadeTowardFront() 这两个接口来设置左右平衡,前后淡化达到设置声场效果。相关的资料可看下 https://source.android.google...不过这两个接口在HAL层时需要芯片厂商实现。

图1. 左右平衡设置界面
在上面的界面中,把条拖到最左边,则声音完全调到左侧;同样,把条拖到最右边,则声音完全调到右侧。上面拖动条的值目前为[0, 200],之后会映射到[-1.0f, 1.0f]存到数据库,从代码上看还做了点贴心的处理, 即在中央 +/- 6 时设为中间的值。
拖动条关键代码:
packages/apps/Settings/src/com/android/settings/accessibility/BalanceSeekBar.java public void onProgressChanged(SeekBar seekBar, int progress, boolean fromUser) { if (fromUser) { // Snap to centre when within the specified threshold // mSnapThreshold 目前为6, 也就是中间+/-6位置时调为中间 if (progress != mCenter && progress > mCenter - mSnapThreshold && progress < mCenter + mSnapThreshold) { progress = mCenter; seekBar.setProgress(progress); // direct update (fromUser becomes false) } // 把0~200映射到 -1.0f~1.0f final float balance = (progress - mCenter) * 0.01f; // 最后设置到了数据库里 Settings.System.putFloatForUser(mContext.getContentResolver(), Settings.System.MASTER_BALANCE, balance, UserHandle.USER_CURRENT); }
也可直接用命令行调节其值:
# MASTER_BALANCE 定义 # frameworks/base/core/java/android/provider/Settings.java public static final String MASTER_BALANCE = "master_balance"; # 命令行设置 master balance adb shell settings put system master_balance 值 # 命令行获取 master balance adb shell settings get system master_balance
通过对 MASTER_BALANCE 搜索,发现其在 AudioService 构造函数里,会new 一个 SettingsObserver 对象,该类专门用于AudioService 监听Settings数据库,当以上MASTER_BALANCE 值有变化时,调用 updateMasterBalance() --> AudioSystem.setMasterBalance() 更新,也就是说其实AudioServer其实也是通过AudioSystem进一步往下设置的。
frameworks/base/services/core/java/com/android/server/audio/AudioService.java public AudioService(Context context, AudioSystemAdapter audioSystem, SystemServerAdapter systemServer) { ... // AudioService 创建 SettingsObserver对象 mSettingsObserver = new SettingsObserver(); private class SettingsObserver extends ContentObserver { SettingsObserver() { ... // SettingsObserver 构造函数里对 MASTER_BALANCE 进行监听 mContentResolver.registerContentObserver(Settings.System.getUriFor( Settings.System.MASTER_BALANCE), false, this); ... } @Override public void onChange(boolean selfChange) { ... // 当监听的数据有变化时, 调用该函数更新 master balance // 需要说一下的是当 开机和AudioServer死了重启时也会调该函数设置balance值给AudioFlinger. updateMasterBalance(mContentResolver); ... } private void updateMasterBalance(ContentResolver cr) { // 获取值 final float masterBalance = System.getFloatForUser( cr, System.MASTER_BALANCE, 0.f /* default */, UserHandle.USER_CURRENT); ... // 通过AudioSystem设置下去 if (AudioSystem.setMasterBalance(masterBalance) != 0) { Log.e(TAG, String.format("setMasterBalance failed for %f", masterBalance)); } }
AudioSystem最终会设置到AudioFlinger里,这中间的过程比较简单,无非是绕来绕去的一些binder调用,不熟悉的就看下我列的流程就行了。
frameworks/base/media/java/android/media/AudioSystem.java setMasterBalance() + --> JNI + android_media_AudioSystem_setMasterBalance() / android_media_AudioSystem.cpp + AudioSystem::setMasterBalance(balance) + setMasterBalance() / AudioSystem.cpp + const sp<IAudioFlinger>& af = AudioSystem::get_audio_flinger(); + af->setMasterBalance(balance) // 调用AudioFlinger的setMasterBalance + setMasterBalance() / AudioFlinger.cpp + mPlaybackThreads.valueAt(i)->setMasterBalance(balance); + mMasterBalance.store(balance);
在AudioFlinger里,会先进行权限,参数合法性,是否和之前设置相同等检查,最终通过for循环设置给播放线程,需要注意的是,duplicating线程被略过了,也就是说 master balance对 duplicating 播放方式无效。
Tips:
duplicating为复制播放,常用于蓝牙和喇叭同时播放铃声。
frameworks/av/services/audioflinger/AudioFlinger.cpp status_t AudioFlinger::setMasterBalance(float balance) { ... // 权限检查 // check calling permissions if (!settingsAllowed()) { ... // 参数合法性检查 // check range if (isnan(balance) || fabs(balance) > 1.f) { ...// 是否和之前的值相同 // short cut. if (mMasterBalance == balance) return NO_ERROR; mMasterBalance = balance; for (size_t i = 0; i < mPlaybackThreads.size(); i++) { // 如果是 duplicating的,不处理 if (mPlaybackThreads.valueAt(i)->isDuplicating()) { continue; } // 调用线程的设置方法 mPlaybackThreads.valueAt(i)->setMasterBalance(balance); } return NO_ERROR; }
熟悉audio的知道,Android将playback thread又分为了fast thread, mixer thread, direct thread等线程,以实现快速,混音,直接offload播放等目的,所以每种播放线程的 setMasterBalance() 以及后续的 balance处理都有可能不一样,我们这里以典型的 mixer thread为例进行分析,其余的方式若有用到可自己看看代码。
PlaybackThread 里将该值存了起来,就结束了
frameworks/av/services/audioflinger/Threads.cpp void AudioFlinger::PlaybackThread::setMasterBalance(float balance) { mMasterBalance.store(balance); } Threads里mMasterBalance定义,为原子类型 frameworks/av/services/audioflinger/Threads.h std::atomic<float> mMasterBalance{};
mMasterBalance为一原子类型,其存储/读取方法为store()/load(),setMasterBalance()最终用store()将balance值存了起来,要想继续看balance过程就得找找个哪儿在使用该值了。
使用mMasterBalance的地方也有好几个,我们也以PlaybackThread进行分析,direct方式有需要可以自己看看。PlaybackThread的threadLoop()是音频处理的一个主要的函数,代码也很长,主要做的工作为 事件处理,准备音轨,混音,音效链处理,以及我们这要说的左右平衡处理,最后将数据写入到HAL,别的流程有兴趣的可以研究研究,本文主要看下balance处理。
bool AudioFlinger::PlaybackThread::threadLoop() {...// 循环处理,一直到线程需要退出 for (int64_t loopCount = 0; !exitPending(); ++loopCount) {...// 事件处理 processConfigEvents_l(); ...// 准备音轨 mMixerStatus = prepareTracks_l(&tracksToRemove); ...// 混音 threadLoop_mix(); ...// 音效链处理 effectChains[i]->process_l(); ...// 左右平衡处理 if (!hasFastMixer()) { // Balance must take effect after mono conversion. // We do it here if there is no FastMixer. // mBalance detects zero balance within the class for speed (not needed here). // 读取balance值并通过setBalance()方法赋给audio_utils::Balance mBalance.setBalance(mMasterBalance.load()); // 对buffer进行平衡处理 mBalance.process((float *)mEffectBuffer, mNormalFrameCount); } ...// 将处理完的数据写入到HAL ret = threadLoop_write(); ... } ... } mBalance 定义 frameworks/av/services/audioflinger/Threads.h audio_utils::Balance mBalance;
从上面代码看到,如果线程里有Fast Mixer的话,那么不会做平衡处理,然后引进了个新类 audio_utils::Balance 专门进行平衡处理,有关的方法为 setBalance() process(), 从直觉上觉得看了 process()函数就能明白其原理了,那我们就先看下该函数。
system/media/audio_utils/Balance.cpp void Balance::process(float *buffer, size_t frames) { // 值在中间和单声道不做处理 if (mBalance == 0.f || mChannelCount < 2) { return; } if (mRamp) { ... // ramp处理 // ramped balance for (size_t i = 0; i < frames; ++i) { const float findex = i; for (size_t j = 0; j < mChannelCount; ++j) { // better precision: delta * i // 改变balance后首次调process会进行ramp处理 *buffer++ *= mRampVolumes[j] + mDeltas[j] * findex; } } ... } // 非ramp方式处理 // non-ramped balance for (size_t i = 0; i < frames; ++i) { for (size_t j = 0; j < mChannelCount; ++j) { // 对传入的buffer每个声道乘以某个系数 *buffer++ *= mVolumes[j]; } } }
process() 中对balance在中间和单声道情况都不做处理,然后又分为了ramp和非ramp方式,这两个方式都是对传入的buffer每个声道都乘以了某个系数。我们主要是关心非ramp方式 *buffer++ *= mVolumes[j]; , 接下来就看下其 mVolumes[j],即左右声道系数是多少?为了搞清楚其mVolumes的值,需要回头再看下其 setBalance() 方法:
system/media/audio_utils/Balance.cpp void Balance::setBalance(float balance) {...// 有效性检查,代码略过 // 单声道不处理 if (mChannelCount < 2) { // if channel count is 1, mVolumes[0] is already set to 1.f return; // and if channel count < 2, we don‘t do anything in process(). } // 常见的双声道方式处理 // Handle the common cases: // stereo and channel index masks only affect the first two channels as left and right. if (mChannelMask == AUDIO_CHANNEL_OUT_STEREO || audio_channel_mask_get_representation(mChannelMask) == AUDIO_CHANNEL_REPRESENTATION_INDEX) { // 计算左右声道平衡系数 computeStereoBalance(balance, &mVolumes[0], &mVolumes[1]); return; } // 声道大于2 处理 // For position masks with more than 2 channels, we consider which side the // speaker position is on to figure the volume used. float balanceVolumes[3]; // left, right, center // 计算左右声道平衡系数 computeStereoBalance(balance, &balanceVolumes[0], &balanceVolumes[1]); // 中间固定 balanceVolumes[2] = 1.f; // center TODO: consider center scaling. for (size_t i = 0; i < mVolumes.size(); ++i) { mVolumes[i] = balanceVolumes[mSides[i]]; } }
setBalance()里对单声道,双声道,多声道进行了处理,其中单声道系数固定为1.f;双声道和多声道都会调用 computeStereoBalance() 计算其左右平衡系数;多声道目前应该还没做好,其中间为固定值1.f。终于来到了关键的左右声道系数计算函数了!
void Balance::computeStereoBalance(float balance, float *left, float *right) const { if (balance > 0.f) { // balance往右情况 *left = mCurve(1.f - balance); *right = 1.f; } else if (balance < 0.f) { // balance往左情况 *left = 1.f; *right = mCurve(1.f + balance); } else { // balance在中间 *left = 1.f; *right = 1.f; } // Functionally: // *left = balance > 0.f ? mCurve(1.f - balance) : 1.f; // *right = balance < 0.f ? mCurve(1.f + balance) : 1.f; }
计数系数时:
balance往右,右声道固定1.f, 左声道为 mCurve(1.f - balance);
balance往左,左声道固定1.f, 右声道为 mCurve(1.f + balance);
也就是说,balance往哪边,哪边的音量固定为1.f,另一边乘以系数 mCurve(1.f - |balance|) (balance∈[-1.0, 1.0])
接下来继续看下mCurve曲线:
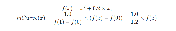
system/media/audio_utils/include/audio_utils/Balance.h class Balance { public: /** * \brief Balance processing of left-right volume on audio data. * * Allows processing of audio data with a single balance parameter from [-1, 1]. * For efficiency, the class caches balance and channel mask data between calls; * hence, use by multiple threads will require caller locking. * * \param ramp whether to ramp volume or not. * \param curve a monotonic increasing function f: [0, 1] -> [a, b] * which represents the volume steps from an input domain of [0, 1] to * an output range [a, b] (ostensibly also from 0 to 1). * If [a, b] is not [0, 1], it is normalized to [0, 1]. * Curve is typically a convex function, some possible examples: * [](float x) { return expf(2.f * x); } * or * [](float x) { return x * (x + 0.2f); } */ explicit Balance( bool ramp = true, std::function<float(float)> curve = [](float x) { return x * (x + 0.2f); }) // 曲线函数 : mRamp(ramp) , mCurve(normalize(std::move(curve))) { } // mCurve做了normalize处理 // mCurve 定义 const std::function<float(float)> mCurve; // monotone volume transfer func [0, 1] -> [0, 1]
其实其函数注释里都写得很清楚了,我也贴出了注释部分,mCurve是一个function, 并做了归一化处理,让其区间和值都落在[0, 1]上,该function为一个单调递增的函数,目前采用的是 x * (x + 0.2f), 当然你也可以采用别的函数。
normalize 是一个模板,其注释也写得很清楚了,可看下,
/** * \brief Normalizes f: [0, 1] -> [a, b] to g: [0, 1] -> [0, 1]. * * A helper function to normalize a float volume function. * g(0) is exactly zero, but g(1) may not necessarily be 1 since we * use reciprocal multiplication instead of division to scale. * * \param f a function from [0, 1] -> [a, b] * \return g a function from [0, 1] -> [0, 1] as a linear function of f. */ template<typename T> static std::function<T(T)> normalize(std::function<T(T)> f) { const T f0 = f(0); const T r = T(1) / (f(1) - f0); // reciprocal multiplication if (f0 != T(0) || // must be exactly 0 at 0, since we promise g(0) == 0 fabs(r - T(1)) > std::numeric_limits<T>::epsilon() * 3) { // some fudge allowed on r. // 我们采用的函数x * (x + 0.2f),fabs(r - T(1)) > .. 为true, 会进到这里来 return [f, f0, r](T x) { return r * (f(x) - f0); }; } // no translation required. return f; }
我们采用的函数满足 fabs(r - T(1)) > std::numeric_limits<T>::epsilon() * 3 条件,所以也会做归一化处理,即采用 r * (f(x) - f0), 结合起来,mCurve 曲线数学描述为:

也即:

1.2 为归一化系数。
mCurve(1.f - |balance|), balance\in[-1.0, 1.0]mCurve(1.f?∣balance∣),balance∈[?1.0,1.0] 可用如下图表示:

图2. Balance曲线图
该图如果显示有问题,也用在线matlab查看,打开下面的网址,然后输入下面的内容:
https://octave-online.net/ x = [-1 : 0.1: 1]; z = 1 - abs(x) y = (z.^2 + 0.2 * z)/1.2; plot(x, y, ‘r‘) xlabel(‘balance‘) ylabel(‘Y‘) title(‘Balance Curve‘)
至此,其调节左右平衡的原理算是搞清楚了。
除前面提到的用命令行 adb shell settings put system master_balance 改变其值外,我们还可以dump看其是否生效:
$ adb shell dumpsys media.audio_flinger // mixer类型的某个线程 Output thread 0x7c19757740, name AudioOut_D, tid 1718, type 0 (MIXER): ... Thread throttle time (msecs): 6646 AudioMixer tracks: Master mono: off // balance值 Master balance: 0.500000 (balance 0.5 channelCount 2 volumes: 0.291667 1) // Offload (direct)类型的某个线程 Output thread 0x7c184b3000, name AudioOut_20D, tid 10903, type 4 (OFFLOAD): ... Suspended frames: 0 Hal stream dump: // balance值 Master balance: 0.500000 Left: 0.291667 Right: 1.000000
原文:https://www.cnblogs.com/blogs-of-lxl/p/14603347.html