文本主要内容:
- 链表结构
- 单链表代码实现
- 单链表的效率分析
一、链表结构: (物理存储结构上不连续,逻辑上连续;大小不固定)
概念:
链式存储结构是基于指针实现的。我们把一个数据元素和一个指针称为结点。
数据域:存数数据元素信息的域。
指针域:存储直接后继位置的域。
链式存储结构是用指针把相互直接关联的结点(即直接前驱结点或直接后继结点)链接起来。链式存储结构的线性表称为链表。
链表类型:
根据链表的构造方式的不同可以分为:
- 单向链表
- 单向循环链表
- 双向循环链表
二、单链表:
概念:
链表的每个结点中只包含一个指针域,叫做单链表(即构成链表的每个结点只有一个指向直接后继结点的指针)
单链表中每个结点的结构:
1、头指针和头结点:
单链表有带头结点结构和不带头结点结构两种。
“链表中第一个结点的存储位置叫做头指针”,如果链表有头结点,那么头指针就是指向头结点的指针。
头指针所指的不存放数据元素的第一个结点称作头结点(头结点指向首元结点)。头结点的数据域一般不放数据(当然有些情况下也可存放链表的长度、用做监视哨等)
存放第一个数据元素的结点称作第一个数据元素结点,或称首元结点。
如下图所示:
不带头结点的单链表如下:
带头结点的单链表如下图:
关于头指针和头结点的概念区分,可以参考如下博客:
http://blog.csdn.net/hitwhylz/article/details/12305021
2、不带头结点的单链表的插入操作:
上图中,是不带头结点的单链表的插入操作。如果我们在非第一个结点前进行插入操作,只需要a(i-1)的指针域指向s,然后将s的指针域指向a(i)就行了;如果我们在第一个结点前进行插入操作,头指针head就要等于新插入结点s,这和在非第一个数据元素结点前插入结点时的情况不同。另外,还有一些不同情况需要考虑。
因此,算法对这两种情况就要分别设计实现方法。
3、带头结点的单链表的插入操作:(操作统一,推荐)
上图中,如果采用带头结点的单链表结构,算法实现时,p指向头结点,改变的是p指针的next指针的值(改变头结点的指针域),而头指针head的值不变。
因此,算法实现方法比较简单,其操作与对其它结点的操作统一。
问题1:头结点的好处:
头结点即在链表的首元结点之前附设的一个结点,该结点的数据域中不存储线性表的数据元素,其作用是为了对链表进行操作时,可以对空表、非空表的情况以及对首元结点进行统一处理,编程更方便。
问题2:如何表示空表:
无头结点时,当头指针的值为空时表示空表;
有头结点时,当头结点的指针域为空时表示空表。
如下图所示:

问题3:头结点的数据域内装的是什么?
头结点的数据域可以为空,也可存放线性表长度等附加信息,但此结点不能计入链表长度值。
三、单项链表的代码实现:
1、结点类:
单链表是由一个一个结点组成的,因此,要设计单链表类,必须先设计结点类。结点类的成员变量有两个:一个是数据元素,另一个是表示下一个结点的对象引用(即指针)。
步骤如下:
(1)头结点的构造(设置指针域即可)
(2)非头结点的构造
(3)获得当前结点的指针域
(4)获得当前结点数据域的值
(5)设置当前结点的指针域
(6)设置当前结点数据域的值
注:类似于get和set方法,成员变量是数据域和指针域。
代码实现:
(1)List.java:(链表本身也是线性表,只不过物理存储上不连续)
//线性表接口
public interface List {
//获得线性表长度
public int size();
//判断线性表是否为空
public boolean isEmpty();
//插入元素
public void insert(int index, Object obj) throws Exception;
//删除元素
public void delete(int index) throws Exception;
//获取指定位置的元素
public Object get(int index) throws Exception;
}
(2)Node.java:结点类
//结点类
public class Node {
Object element; //数据域
Node next; //指针域
//头结点的构造方法
public Node(Node nextval) {
this.next = nextval;
}
//非头结点的构造方法
public Node(Object obj, Node nextval) {
this.element = obj;
this.next = nextval;
}
//获得当前结点的指针域
public Node getNext() {
return this.next;
}
//获得当前结点数据域的值
public Object getElement() {
return this.element;
}
//设置当前结点的指针域
public void setNext(Node nextval) {
this.next = nextval;
}
//设置当前结点数据域的值
public void setElement(Object obj) {
this.element = obj;
}
public String toString() {
return this.element.toString();
}
}
2、单链表类:
单链表类的成员变量至少要有两个:一个是头指针,另一个是单链表中的数据元素个数。但是,如果再增加一个表示单链表当前结点位置的成员变量,则有些成员函数的设计将更加方便。
代码实现:
(3)LinkList.java:单向链表类(核心代码)
1 //单向链表类
2 public class LinkList implements List {
3
4 Node head; //头指针
5 Node current;//当前结点对象
6 int size;//结点个数
7
8 //初始化一个空链表
9 public LinkList()
10 {
11 //初始化头结点,让头指针指向头结点。并且让当前结点对象等于头结点。
12 this.head = current = new Node(null);
13 this.size =0;//单向链表,初始长度为零。
14 }
15
16 //定位函数,实现当前操作对象的前一个结点,也就是让当前结点对象定位到要操作结点的前一个结点。
17 //比如我们要在a2这个节点之前进行插入操作,那就先要把当前节点对象定位到a1这个节点,然后修改a1节点的指针域
18 public void index(int index) throws Exception
19 {
20 if(index <-1 || index > size -1)
21 {
22 throw new Exception("参数错误!");
23 }
24 //说明在头结点之后操作。
25 if(index==-1) //因为第一个数据元素结点的下标是0,那么头结点的下标自然就是-1了。
26 return;
27 current = head.next;
28 int j=0;//循环变量
29 while(current != null&&j<index)
30 {
31 current = current.next;
32 j++;
33 }
34
35 }
36
37 @Override
38 public void delete(int index) throws Exception {
39 // TODO Auto-generated method stub
40 //判断链表是否为空
41 if(isEmpty())
42 {
43 throw new Exception("链表为空,无法删除!");
44 }
45 if(index <0 ||index >size)
46 {
47 throw new Exception("参数错误!");
48 }
49 index(index-1);//定位到要操作结点的前一个结点对象。
50 current.setNext(current.next.next);
51 size--;
52 }
53
54 @Override
55 public Object get(int index) throws Exception {
56 // TODO Auto-generated method stub
57 if(index <-1 || index >size-1)
58 {
59 throw new Exception("参数非法!");
60 }
61 index(index);
62
63 return current.getElement();
64 }
65
66 @Override
67 public void insert(int index, Object obj) throws Exception {
68 // TODO Auto-generated method stub
69 if(index <0 ||index >size)
70 {
71 throw new Exception("参数错误!");
72 }
73 index(index-1);//定位到要操作结点的前一个结点对象。
74 current.setNext(new Node(obj,current.next));
75 size++;
76 }
77
78 @Override
79 public boolean isEmpty() {
80 // TODO Auto-generated method stub
81 return size==0;
82 }
83
84 @Override
85 public int size() {
86 // TODO Auto-generated method stub
87 return this.size;
88 }
89
90
91 }
3、测试类:(单链表的应用)
使用单链表建立一个线性表,依次输入十个0-99之间的随机数,删除第5个元素,打印输出该线性表。
(4)Test.java:
1 public class Test {
2
3 public static void main(String[] args) throws Exception {
4 // TODO Auto-generated method stub
5 LinkList list = new LinkList();
6 for (int i = 0; i < 10; i++) {
7 int temp = ((int) (Math.random() * 100)) % 100;
8 list.insert(i, temp);
9 System.out.print(temp + " ");
10 }
11
12 list.delete(4);
13 System.out.println("\n------删除第五个元素之后-------");
14 for (int i = 0; i < list.size; i++) {
15 System.out.print(list.get(i) + " ");
16 }
17 }
18
19 }
运行效果:
四、开发可用的链表:
对于链表实现,Node类是整个操作的关键,但是首先来研究一下之前程序的问题:Node是一个单独的类,那么这样的类是可以被用户直接使用的,但是这个类由用户直接去使用,没有任何的意义,即:Node这个类有用,但是不能让用户去用,只能让LinkList类去调用,内部类Node中完成。
于是,我们需要把Node类定义为内部类,并且在Node类中去完成addNode和delNote等操作。使用内部类的最大好处是可以和外部类进行私有操作的互相访问。
注:内部类访问的特点是:内部类可以直接访问外部类的成员,包括私有;外部类要访问内部类的成员,必须先创建对象。
1、增加数据:
- public Boolean add(数据 对象)
代码实现:
(1)LinkList.java:(核心代码)
1 public class LinkList {
2 private Node root; //定义一个根节点
3
4 //方法:增加节点
5 public boolean add(String data) {
6
7 if (data == null) { // 如果添加的是一个空数据,那增加失败
8 return false;
9 }
10
11 // 将数据封装为节点,目的:节点有next可以处理关系
12 Node newNode = new Node(data);
13 // 链表的关键就在于根节点
14 if (root == null) { //如果根节点是空的,那么新添加的节点就是根节点。(第一次调用add方法时,根节点当然是空的了)
15 root = newNode;
16 } else {
17 root.addNode(newNode);
18
19 }
20
21 return true;
22
23 }
24
25
26 //定义一个节点内部类(假设要保存的数据类型是字符串)
27 //比较好的做法是,将Node定义为内部类,在这里面去完成增删、等功能,然后由LinkList去调用增、删的功能
28 class Node {
29 private String data;
30 private Node next; //next表示:下一个节点对象(单链表中)
31
32 public Node(String data) {
33 this.data = data;
34 }
35
36 public void addNode(Node newNode) {
37
38 //下面这段用到了递归,需要反复理解
39 if (this.next == null) { // 递归的出口:如果当前节点之后没有节点,说明我可以在这个节点后面添加新节点
40 this.next = newNode; //添加新节点
41 } else {
42 this.next.addNode(newNode); //向下继续判断,直到当前节点之后没有节点为止
43
44 }
45 }
46 }
47 }
代码解释:
14行:如果我们第一次调用add方法,那根结点肯定是空的,此时add的是根节点。
当继续调用add方法时,此时是往根节点后面添加数据,需要用到递归(42行),这个递归需要在内部类中去完成。递归这段代码需要去反复理解。
(2)LinkListDemo.java:
public class LinkListDemo {
public static void main(String[] args) {
LinkList list = new LinkList();
boolean flag = list.add("haha");
System.out.println(flag);
}
}
运行效果:
2、增加多个数据:
- public boolean addAll(数据 对象 [] )
上面的操作是每次增加了一个对象,那么如果现在要求增加多个对象呢,例如:增加对象数组。可以采用循环数组的方式,每次都调用add()方法。
在上面的(1)LinkList.java中加入如下代码:
1 //方法:增加一组数据
2 public boolean addAll(String data[]) { // 一组数据
3 for (int x = 0 ; x < data.length ; x ++) {
4 if (!this.add(data[x])) { // 只要有一次添加不成功,那就是添加失败
5 return false ;
6 }
7 }
8 return true ;
9 }
3、统计数据个数:
- public int size()
在一个链表之中,会保存多个数据(每一个数据都被封装为Node类对象),那么要想取得这些保存元素的个数,可以增加一个size()方法完成。
具体做法如下:
在上面的(1)LinkList.java中增加一个统计的属性count:
private int size ; // 统计个数
当用户每一次调用add()方法增加新数据的时候应该做出统计:(下方第18行代码)
1 //添加节点
2 public boolean add(String data) {
3
4 if (data == null) { // 如果添加的是一个空数据,那增加失败
5 return false;
6 }
7
8 // 将数据封装为节点,目的:节点有next可以处理关系
9 Node newNode = new Node(data);
10 // 链表的关键就在于根节点
11 if (root == null) { //如果根节点是空的,那么新添加的节点就是根节点。(第一次调用add方法时,根节点当然是空的了)
12 root = newNode;
13 } else {
14 root.addNode(newNode);
15
16 }
17
18 this.size++;
19 return true;
20
21 }
而size()方法就是简单的将count这个变量的内容返回:
//获取数据的长度
public int size() {
return this.size;
}
4、判断是否是空链表:
- public boolean isEmpty()
所谓的空链表指的是链表之中不保存任何的数据,实际上这个null可以通过两种方式判断:一种判断链表的根节点是否为null,另外一个是判断保存元素的个数是否为0。
在LinkList.java中添加如下代码:
//判断是否为空链表
public boolean isEmpty() {
return this.size == 0;
}
5、查找数据是否存在:
- public boolean contains(数据 对象)
现在如果要想查询某个数据是否存在,那么基本的操作原理:逐个盘查,盘查的具体实现还是应该交给Node类去处理,但是在盘查之前必须有一个前提:有数据存在。
在LinkList.java中添加查询的操作:
1 //查询数据是否存在
2 public boolean contains(String data) { // 查找数据
3 // 根节点没有数据,查找的也没有数据
4 if (this.root == null || data == null) {
5 return false; // 不需要进行查找了
6 }
7 return this.root.containsNode(data); // 交给Node类处理
8 }
紧接着,在Node类之中,完成具体的查询,查询的流程:
判断当前节点的内容是否满足于查询内容,如果满足返回true;
如果当前节点的内容不满足,则向后继续查,如果已经没有后续节点了,则返回false。
代码实现:
1 //判断节点是否存在
2 public boolean containsNode(String data) { // 查找数据
3 if (data.equals(this.data)) { // 与当前节点数据吻合
4 return true;
5 } else { // 与当前节点数据不吻合
6 if (this.next != null) { // 还有下一个节点
7 return this.next.containsNode(data);
8 } else { // 没有后续节点
9 return false; // 查找不到
10 }
11 }
12 }
6、删除数据:
- public boolean remove(数据 对象)
在LinkList.java中加入如下代码:
1 //方法:删除数据
2 public boolean remove(String data) { //要删除的节点,假设每个节点的data都不一样
3
4 if (!this.contains(data)) { //要删除的数据不存在
5 return false;
6 }
7
8 if (root != null) {
9 if (root.data.equals(data)) { //说明根节点就是需要删除的节点
10 root = root.next; //让根节点的下一个节点成为根节点,自然就把根节点顶掉了嘛(不像数组那样,要将后面的数据在内存中整体挪一位)
11 } else { //否则
12 root.removeNode(data);
13 }
14 }
15 size--;
16 return true;
17
18 }
注意第2代码中,我们是假设删除的这个String字符串是唯一的,不然就没法删除了。
删除时,我们需要从根节点开始判断,如果根节点是需要删除的节点,那就直接删除,此时下一个节点变成了根节点。
然后,在Node类中做节点的删除:
//删除节点
public void removeNode(String data) {
if (this.next != null) {
if (this.next.data.equals(data)) {
this.next = this.next.next;
} else {
this.next.removeNode(data);
}
}
}
7、输出所有节点:
在LinkList.java中加入如下代码:
1 //输出所有节点
2 public void print() {
3 if (root != null) {
4 System.out.print(root.data);
5 root.printNode();
6 System.out.println();
7 }
8 }
然后,在Node类中做节点的输出:
1 //输出所有节点
2 public void printNode() {
3 if (this.next != null) {
4 System.out.print("-->" + this.next.data);
5 this.next.printNode();
6 }
7 }
8、取出全部数据:
- public 数据 [] toArray()
对于链表的这种数据结构,最为关键的是两个操作:删除、取得全部数据。
在LinkList类之中需要定义一个操作数组的脚标:
private int foot = 0; // 操作返回数组的脚标
在LinkList类中定义返回数组,必须以属性的形式出现,只有这样,Node类才可以访问这个数组并进行操作:
private String [] retData ; // 返回数组
在LinkList类之中增加toArray()的方法:
1 //方法:获取全部数据
2 public String[] toArray() {
3 if (this.size == 0) {
4 return null; // 没有数据
5 }
6 this.foot = 0; // 清零
7 this.retData = new String[this.size]; // 开辟数组大小
8 this.root.toArrayNode();
9 return this.retData;
10 }
修改Node类的操作,增加toArrayNode()方法:
1 //获取全部数据
2 public void toArrayNode() {
3 LinkList.this.retData[LinkList.this.foot++] = this.data;
4 if (this.next != null) {
5 this.next.toArrayNode();
6 }
7 }
不过,按照以上的方式进行开发,每一次调用toArray()方法,都要重复的进行数据的遍历,如果在数据没有修改的情况下,这种做法是一种非常差的做法,最好的做法是增加一个修改标记,如果发现数据增加了或删除的话,表示要重新遍历数据。
private boolean changeFlag = true ; // changeFlag == true:数据被更改了,则需要重新遍历 // changeFlag == false:数据没有更改,不需要重新遍历
然后,我们修改LinkList类中的toArray()方法:(其他代码保持不变)
//方法:获取全部数据
public String[] toArray() {
if (this.size == 0) {
return null; // 没有数据
}
this.foot = 0; // 清零
if (this.changeFlag == true) { // 内容被修改了,需要重新取
this.retData = new String[this.size]; // 开辟数组大小
this.root.toArrayNode();
}
return this.retData;
}
9、根据索引位置取得数据:
- public 数据 get(int index)
在一个链表之中会有多个节点保存数据,现在要求可以取得指定节点位置上的数据。但是在进行这一操作的过程之中,有一个小问题:如果要取得数据的索引超过了数据的保存个数,那么是无法取得的。
在LinkList类之中,增加一个get()方法:
1 //方法:根据索引取得数据
2 public String get(int index) {
3 if (index > this.size) { // 超过个数
4 return null; // 返回null
5 }
6 this.foot = 0; // 操作foot来定义脚标
7 return this.root.getNode(index);
8 }
在Node类之中配置getNode()方法:
1 //根据索引位置获取数据
2 public String getNode(int index) {
3 if (LinkList.this.foot++ == index) { // 当前索引为查找数值
4 return this.data;
5 } else {
6 return this.next.getNode(index);
7 }
8 }
10、清空链表:
- public void clear()
所有的链表被root拽着,这个时候如果root为null,那么后面的数据都会断开,就表示都成了垃圾:
//清空链表
public void clear() {
this.root = null;
this.size = 0;
}
总结:
上面的10条方法中,LinkList的完整代码如下:
1 /**
2 * Created by smyhvae on 2015/8/27.
3 */
4
5 public class LinkList {
6
7 private int size;
8 private Node root; //定义一个根节点
9
10 private int foot = 0; // 操作返回数组的脚标
11 private String[] retData; // 返回数组
12 private boolean changeFlag = true;
13 // changeFlag == true:数据被更改了,则需要重新遍历
14 // changeFlag == false:数据没有更改,不需要重新遍历
15
16
17 //添加数据
18 public boolean add(String data) {
19
20 if (data == null) { // 如果添加的是一个空数据,那增加失败
21 return false;
22 }
23
24 // 将数据封装为节点,目的:节点有next可以处理关系
25 Node newNode = new Node(data);
26 // 链表的关键就在于根节点
27 if (root == null) { //如果根节点是空的,那么新添加的节点就是根节点。(第一次调用add方法时,根节点当然是空的了)
28 root = newNode;
29 } else {
30 root.addNode(newNode);
31
32 }
33
34 this.size++;
35 return true;
36
37 }
38
39
40 //方法:增加一组数据
41 public boolean addAll(String data[]) { // 一组数据
42 for (int x = 0; x < data.length; x++) {
43 if (!this.add(data[x])) { // 只要有一次添加不成功,那就是添加失败
44 return false;
45 }
46 }
47 return true;
48 }
49
50 //方法:删除数据
51 public boolean remove(String data) { //要删除的节点,假设每个节点的data都不一样
52
53 if (!this.contains(data)) { //要删除的数据不存在
54 return false;
55 }
56
57 if (root != null) {
58 if (root.data.equals(data)) { //说明根节点就是需要删除的节点
59 root = root.next; //让根节点的下一个节点成为根节点,自然就把根节点顶掉了嘛(不像数组那样,要将后面的数据在内存中整体挪一位)
60 } else { //否则
61 root.removeNode(data);
62 }
63 }
64 size--;
65 return true;
66
67 }
68
69 //输出所有节点
70 public void print() {
71 if (root != null) {
72 System.out.print(root.data);
73 root.printNode();
74 System.out.println();
75 }
76 }
77
78
79 //方法:获取全部数据
80 public String[] toArray() {
81 if (this.size == 0) {
82 return null; // 没有数据
83 }
84 this.foot = 0; // 清零
85 this.retData = new String[this.size]; // 开辟数组大小
86 this.root.toArrayNode();
87 return this.retData;
88 }
89
90
91 //获取数据的长度
92 public int size() {
93 return this.size;
94 }
95
96 //判断是否为空链表
97 public boolean isEmpty() {
98 return this.size == 0;
99 }
100
101 //清空链表
102 public void clear() {
103 this.root = null;
104 this.size = 0;
105 }
106
107
108 //查询数据是否存在
109 public boolean contains(String data) { // 查找数据
110 // 根节点没有数据,查找的也没有数据
111 if (this.root == null || data == null) {
112 return false; // 不需要进行查找了
113 }
114 return this.root.containsNode(data); // 交给Node类处理
115 }
116
117
118 //方法:根据索引取得数据
119 public String get(int index) {
120 if (index > this.size) { // 超过个数
121 return null; // 返回null
122 }
123 this.foot = 0; // 操作foot来定义脚标
124 return this.root.getNode(index);
125 }
126
127
128 //定义一个节点内部类(假设要保存的数据类型是字符串)
129 //比较好的做法是,将Node定义为内部类,在这里面去完成增删、等功能,然后由LinkList去调用增、删的功能
130 class Node {
131 private String data;
132 private Node next; //next表示:下一个节点对象(单链表中)
133
134 public Node(String data) {
135 this.data = data;
136 }
137
138 //添加节点
139 public void addNode(Node newNode) {
140
141 //下面这段用到了递归,需要反复理解
142 if (this.next == null) { // 递归的出口:如果当前节点之后没有节点,说明我可以在这个节点后面添加新节点
143 this.next = newNode; //添加新节点
144 } else {
145 this.next.addNode(newNode); //向下继续判断,直到当前节点之后没有节点为止
146
147 }
148 }
149
150
151 //判断节点是否存在
152 public boolean containsNode(String data) { // 查找数据
153 if (data.equals(this.data)) { // 与当前节点数据吻合
154 return true;
155 } else { // 与当前节点数据不吻合
156 if (this.next != null) { // 还有下一个节点
157 return this.next.containsNode(data);
158 } else { // 没有后续节点
159 return false; // 查找不到
160 }
161 }
162 }
163
164
165 //删除节点
166 public void removeNode(String data) {
167 if (this.next != null) {
168 if (this.next.data.equals(data)) {
169 this.next = this.next.next;
170 } else {
171 this.next.removeNode(data);
172 }
173 }
174
175 }
176
177 //输出所有节点
178 public void printNode() {
179 if (this.next != null) {
180 System.out.print("-->" + this.next.data);
181 this.next.printNode();
182 }
183 }
184
185 //获取全部数据
186 public void toArrayNode() {
187 LinkList.this.retData[LinkList.this.foot++] = this.data;
188 if (this.next != null) {
189 this.next.toArrayNode();
190 }
191 }
192
193
194 //根据索引位置获取数据
195 public String getNode(int index) {
196 if (LinkList.this.foot++ == index) { // 当前索引为查找数值
197 return this.data;
198 } else {
199 return this.next.getNode(index);
200 }
201 }
202
203
204 }
205 }
四、单链表的效率分析:
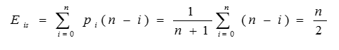
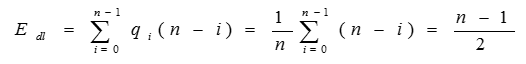
在单链表的任何位置上插入数据元素的概率相等时,在单链表中插入一个数据元素时比较数据元素的平均次数为:
删除单链表的一个数据元素时比较数据元素的平均次数为:
因此,单链表插入和删除操作的时间复杂度均为O(n)。另外,单链表读取数据元素操作的时间复杂度也为O(n)。
2、顺序表和单链表的比较:
顺序表:
优点:主要优点是支持随机读取,以及内存空间利用效率高;
缺点:主要缺点是需要预先给出数组的最大数据元素个数,而这通常很难准确作到。当实际的数据元素个数超过了预先给出的个数,会发生异常。另外,顺序表插入和删除操作时需要移动较多的数据元素。
单链表:
优点:主要优点是不需要预先给出数据元素的最大个数。另外,单链表插入和删除操作时不需要移动数据元素;
缺点:主要缺点是每个结点中要有一个指针,因此单链表的空间利用率略低于顺序表的。另外,单链表不支持随机读取,单链表取数据元素操作的时间复杂度为O(n);而顺序表支持随机读取,顺序表取数据元素操作的时间复杂度为O(1)。









