You are given the root node of a binary search tree (BST) and a value to insert into the tree. Return the root node of the BST after the insertion. It is guaranteed that the new value does not exist in the original BST.
Notice that there may exist multiple valid ways for the insertion, as long as the tree remains a BST after insertion. You can return any of them.
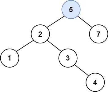
Example 1:

Input: root = [4,2,7,1,3], val = 5
Output: [4,2,7,1,3,5]
Explanation: Another accepted tree is:

Example 2:
Input: root = [40,20,60,10,30,50,70], val = 25
Output: [40,20,60,10,30,50,70,null,null,25]
Example 3:
Input: root = [4,2,7,1,3,null,null,null,null,null,null], val = 5
Output: [4,2,7,1,3,5]
Constraints:
[0, 104].-108 <= Node.val <= 108Node.val are unique.-108 <= val <= 108val does not exist in the original BST.将一个数插入到BST中,并返回root。
递归处理即可。
class Solution {
public TreeNode insertIntoBST(TreeNode root, int val) {
if (root == null) {
return new TreeNode(val);
}
if (val < root.val) {
root.left = insertIntoBST(root.left, val);
} else {
root.right = insertIntoBST(root.right, val);
}
return root;
}
}
0701. Insert into a Binary Search Tree (M)
原文:https://www.cnblogs.com/mapoos/p/13773700.html