发表在 NIPS 2017
作者聚焦于非平行语料文本的风格迁移,针对其研究难点:如何将文本内容与属性分离开来,提出假设跨不同文本语料库共享潜在内容分布,并利用潜在表示的精确对齐来执行风格迁移的方法

说明:编码器 E 将句子进行编码并映射到隐空间 Z 中,得到句子的内容表示,当生成器 G 中输入的是原句子标签 y1 时,则生成与原风格相同的句子(重构,相当于AE),与原句子对齐;当生成器 G 中输入不同的风格时,则生成目标风格的句子,与目标句进行一个交叉对齐。
目的:学习一个风格迁移函数

主要包括两步:
第一步:编码,映射到隐空间 z 中。 z ~ p(z|x2,y2)
第二部:解码,生成目标句子。p(x1|y1,z)
重构损失(VAE):
两部分相加


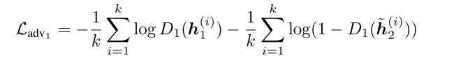
判别器(cnn 分类器):



论文中做了三个任务:
Sentiment modification
数据集:YELP
数据处理同 Hu et al 2017 (Toward Controlled Generation of Text)
评价指标(引入了人工评价):
? Accuracy(预训练好的 TextCNN)
? sentiment、fluency(human)-- 从测试集中随机选择 500 条句子由两个人来判断句子情感是否转换成功以及句子的流畅度
https://github.com/shentianxiao/language-style-transfer
Style Transfer from Non-Parallel Text by Cross-Alignment 阅读
原文:https://www.cnblogs.com/alivinfer/p/13356926.html