步骤:
1. 先将所需要对齐的公式分不同行打出来;

2. 选中所有公式,右键点击并选择“对齐点(A) =”,如图

此时,如果能够正常对齐,则无需进行下面的步骤,但如果出现下图情况并未正常对齐的,再进行步骤3。

3.点击任一公式,再点击下拉选项框,选择两端对齐->整体居中,如下图所示,即可完成等号对齐。

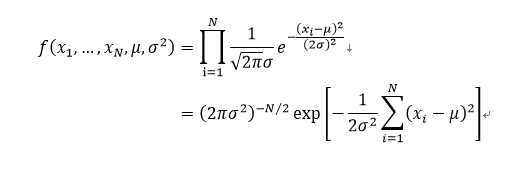
效果图:

另外,对其效果不仅限于“=”,还可用于“≡”、“≌”、“≈”、“≠”等符号。
步骤:
1. 先将所需要对齐的公式分不同行打出来;

2. 选中所有公式,右键点击并选择“对齐点(A) =”,如图

此时,如果能够正常对齐,则无需进行下面的步骤,但如果出现下图情况并未正常对齐的,再进行步骤3。

3.点击任一公式,再点击下拉选项框,选择两端对齐->整体居中,如下图所示,即可完成等号对齐。

效果图:

另外,对其效果不仅限于“=”,还可用于“≡”、“≌”、“≈”、“≠”等符号。
【MS Office2013小技巧】Word中公式中的等号对齐
原文:https://www.cnblogs.com/dududd/p/13180193.html