1、信号与系统的一些基本概念
- 信息——是消息中有意义的内容;
- 信号——是反映信息的各种物理量,是系统直接进行加工、变换以实现通信的对象。
- 信号是信息的表现形式,信息是信号的具体内容;信号是信息的载体,通过信号传递信息。
- 系统(system)——是指若干相互关联的事物组合而成具有特定功能的整体。
1.1、信号类型
1.1.1、连续信号和离散信号
- 连续时间信号——在连续的时间范围内(-∞<t<∞)有定义的信号称为连续时间信号,简称连续信号,实际中也常称为模拟信号。
- 离散时间信号——仅在一些离散的瞬间才有定义的信号称为离散时间信号,简称离散信号,实际中也常称为数字信号。
1.1.2、周期信号和非周期信号
- 周期信号——是指一个每隔一定时间T,按相同规律重复变化的信号。
- 非周期信号——不具有周期性的信号称为非周期信号。
1.1.3、实信号和复信号(略)
1.1.4、能量信号和功率信号
- 能量信号——信号总能量为有限值而信号平均功率为零。
- 功率信号——平均功率为有限值而信号总能量为无限大。
1.2、基本运算
1.2.1、加和乘(略)
1.2.2、反转、平移
- 反转——将f(t)→f(–t)或f(k)→f(–k)称为对信号f(·)的反转或反折,从图形上看是将f (·)以纵坐标为轴反转180°。
- 平移——将f(t)→f(t + t0)称为对信号f(·)的平移或移位,若t0< 0,则将f(·)右移,否则左移。
1.2.3、尺度变换
- 尺度变换(横坐标展缩)——将f(t)→f(at),称为对信号f(t)的尺度变换。若a>1,则f(at)将f(t)的波形沿时间轴压缩至原来的1/a;若0<a<1,则f(at)将f(t)的波形沿时间轴扩展为原来的a倍。
1.3、重要函数(阶跃函数、冲激函数)
1.3.1、冲激函数
冲激函数:
可以方便地表示某些信号,用阶跃函数表示信号的作用区间,积分计算;
性质:
- 归一性质:

- 奇偶性质:单位冲激函数为偶函数,

- 筛分性质:

- 抽样性质:


- 尺度变换:




- 重要公式:

- 与阶跃函数关系:


1.3.2、阶跃函数(略)
1.4、系统
1.4.1、数学模型(框图略)
1.4.2、系统特性
2、响应
2.1、零输入和零状态
- 零输入——0-状态称为零输入时的初始状态,即初始值是由系统的储能产生的。
- 零状态——0+状态称为加入输入后的初始状态,即初始值不仅有系统的储能,还受激励的影响。
- 零输入响应——没有外加激励信号的作用,只有起始状态所产生的响应。
- 零状态响应——不考虑起始时刻系统储能的作用,由系统外加激励信号所产生的响应。
在经典法求全响应的积分常数时,用的是0+状态初始值;
在求系统零输入响应时,用的是0-状态初始值;
在求系统零状态响应时,用的是0+状态初始值,这时的零状态是指0-状态为零。
- LTI的全响应:y(t) = yx(t) + yf(t)。
- 全响应=齐次解(自由响应)+特解(强迫响应)
- 自由响应(Natural)+强迫响应(forced)
- 暂态响应(Transient)+稳态响应(Steady-state)
- 零输入响应(Zero-input)+零状态响应(Zero-state)
- 零输入响应是自由响应的一部分,零状态响应有自由响应的一部分和强迫响应构成 。
2.2、冲激(单位序列)响应和阶跃响应
2.2.1、LTI连续系统
- 冲激响应——系统在单位冲激信号δ(t)作用下产生的零状态响应,称为单位冲激响应,简称冲激响应,一般用h(t)表示。
- 阶跃响应——系统在单位阶跃信号ε(t)作用下的零状态响应,称为单位阶跃响应,简称阶跃响应,一般用g(t)表示。
- 阶跃响应与冲激响应的关系——线性时不变系统满足微、积分特性。阶跃响应是冲击响应的积分。
2.2.2、LTI离散系统(略)
3、卷积
3.1、卷积积分(连续系统)
定义——已知定义在区间(–∞,∞)上的两个函数f1(t)和f2(t),则定义积分:
性质:
- 交换律:ƒ1(t)*ƒ2(t)=ƒ2(t)*ƒ1(t)
- 分配律:ƒ1(t)*[ƒ2(t)+ƒ3(t)]=ƒ1(t)*ƒ2(t)+ƒ1(t)*ƒ3(t)
- 结合律:[ƒ1(t)*ƒ2(t)]*ƒ3(t)=ƒ1(t)*[ƒ2(t)*ƒ3(t)]
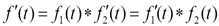
- 微分性质:

- 积分性质:

- 微积分性质:

- 时移性质:若ƒ1(t)*ƒ2(t)=ƒ(t),则有ƒ1(t-t1)*ƒ2(t-t2)=ƒ(t-t1-t2)
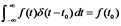
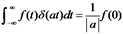
函数与冲激函数的卷积:
- ƒ(t)*δ(t)=δ(t)*ƒ(t)=f(t)
- ƒ(t)*δ(t-t0)=ƒ(t-t0)
- δ(t-t1)*δ(t-t2)=δ(t-t1-t2)
- ƒ(t-t1)*δ(t-t2)=ƒ(t-t1-t2)
3.2、卷积和(离散系统)

4、傅里叶变换(F)
关于傅里叶变换原理和推导过程详见另一篇博文
信号描述方法:
时域描述(如简谐信号)

频域描述
以信号的频率结构来描述信号的方法:将信号看成许多谐波(简谐信号)之和,每一个谐波称作该信号的一个频率成分,考察信号含有哪些频率的谐波,以及各谐波的幅值和相角。
4.1、信号分解为正交函数
信号分解为正交函数的原理与矢量分解为正交矢量的概念相似。譬如,在平面上的矢量A在直角坐标中可以分解为x方向分量和y方向分量。将空间矢量正交分解的概念推广到信号空间,在信号空间找到若干个相互正交的信号作为基本信号,使得信号空间中任一信号均可表示成他们的线性组合。(运用三角函数的正交性)
傅里叶变换是在傅里叶级数正交函数展开的基础上发展而产生的,这方面的问题也称为傅里叶分析(频域分析),将信号进行正交分解,即分解为三角函数或复指数函数的组合。
频域分析将时间变量变换成频率变量,揭示了信号内在的频率特性以及信号时间特性与其频率特性之间的密切关系。
4.2、傅里叶级数(周期信号)
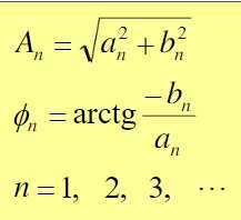
4.2.1、三角函数形式
三角展开式:
(n=1,2,3......);另一种形式:
傅里叶系数:
式中,T—周期;ω0—基频;ω0=2π/T;另一种形式:
4.2.2、指数形式
- 欧拉公式——
or
复指数形式:
傅里叶系数:

4.3、傅里叶变换(非周期信号)
4.3.1、定义
傅里叶变换:
傅里叶反变换:
4.3.2、性质
4.4、离散的傅里叶分析(DFS、DTFT、DFT)(略)
5、无失真传输和取样定理
5.1、无失真传输
无失真传输是指系统的输出信号与输入信号相比,只有幅度的大小和出现时间的先后不同,而没有波形上的变化。设输入信号为f(t),那么经过无失真传输后,输出信号应为
幅频特性和相频特性分别为
和
5.2、取样定理
抽样定理:在一个频带限制在(0,fh)内的时间连续信号f(t),如果以小于等于1/(2fh)的时间间隔对它进行抽样,那么根据这些抽样值就能完全恢复原信号。
或者说,如果一个连续信号f(t)的频谱中最高频率不超过fh,这种信号必定是个周期性的信号,当抽样频率f S≥2fh时,抽样后的信号就包含原连续信号的全部信息,而不会有信息丢失,当需要时,可以根据这些抽样信号的样本来还原原来的连续信号。
6、连续系统s域—拉普拉斯变换(L)
引入s=σ+jω(σ、ω均为实数),以复指数函数est为基本信号,任意信号可以分解为众多不同复频率的复指数分量。用于系统分析的独立变量是负频率s,称为s域分析或复频域分析。
6.1、定义
双边拉氏变换对(or复傅里叶变换对):

单边拉氏变换:
单边拉氏反变换:
6.2、收敛域
把使f(t)e-σt满足绝对可积条件的σ值的范围,称为拉氏变换的收敛域(ROC,Region Of Convergence)。



6.3、拉氏变换的基本性质
- 线性性质:若

则
- 时域微分特性:若
则

- 时域积分特性:若
则
- 延时特性(时域平移):若
则
- s域平移:若
则
- 尺度变换:若
则
(a>0
- 初值定理:当F(s)为真分式时
否则
(分别为多项式与真分式)
- 终值定理:当F(s) 的全部极点在s左半平面(允许在s=0处有一阶极点,以保证终值存在)时

- 卷积定理:若

则
(时域卷积定理)
(s域卷积定理)
- s域微分与积分:若
则

6.4、拉普拉斯逆变换
部分分式展开法(仅适用于F(s)为有理分式情况)、围线积分法(留数法)。
部分分式法的实质是利用拉氏变换的线性特性, 先将F(s)分解为若干简单函数之和, 再分别对这些简单象函数求原函数。


p1、p2、…、pn称为F(s)的极点;分子多项式也可以表示为A(s)=(s-z1)(s-z2)…(s-zm),式中z1,z2,…,zm是A(s)=0方程式的根,也称F(s)的零点。
p1,p2,…,pn既可以是各不相同的单极点,也可能出现有相同的极点即有重极点;分母多项式的阶次一般高于分子多项式(m<n),但也有可能m≥n。
6.5、复频域分析(略)
7、离散系统z域—z变换(Z)
(待续。。。)
【学习笔记】信号与系统知识点总结(持续更新)
原文:https://www.cnblogs.com/lixiaozoe/p/12986192.html