
1.3 实现结果:

(三)学习 “视觉词典”
1.1 对于一个庞大的数据集,可以通过聚类算法构建出视觉词典,聚类是实现 visual vocabulary /codebook的关键,最常用的就是K-means算法,算法流程:
1.2 生成代码所需要的模型文件
生成视觉词典:
# -*- coding: utf-8 -*-
import pickle
from PCV.imagesearch import vocabulary
from PCV.tools.imtools import get_imlist
from PCV.localdescriptors import sift
##要记得将PCV放置在对应的路径下
#获取图像列表
imlist = get_imlist(‘D:/Visual_Studio_Code/data/first1000/‘) ###要记得改成自己的路径
nbr_images = len(imlist)
#获取特征列表
featlist = [imlist[i][:-3]+‘sift‘ for i in range(nbr_images)]
#提取文件夹下图像的sift特征
for i in range(nbr_images):
sift.process_image(imlist[i], featlist[i])
#生成词汇
voc = vocabulary.Vocabulary(‘ukbenchtest‘)
voc.train(featlist, 1000, 10)
#保存词汇
# saving vocabulary
with open(r‘D:\Visual_Studio_Code\data\first1000\vocabulary.pkl‘, ‘wb‘) as f:
pickle.dump(voc, f)
print (‘vocabulary is:‘, voc.name, voc.nbr_words)
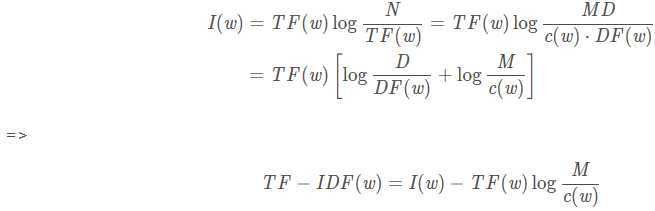
(四)关键词权重度量:TF-IDF算法原理
其中N?为整个语料库中的总词数,是可忽略的常数,此时:
易知,关键词w的TF-IDF值,与其信息量成正比;又由于M>c(w),知关键词w的TF-IDF值,与其在文档中出现的平均次数成反比,这些结论完全符合信息论。
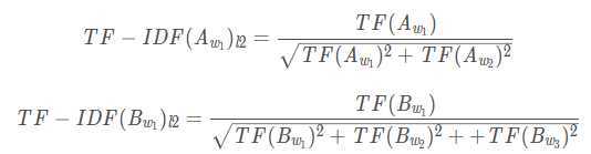
,如TF(A_w1) = TF(B_w1),且TF之和为1,知sklearn.feature_extraction.text中的CountVectorizer和TfidfVectorizer类,如下:import re
from collections import defaultdict
from sklearn.feature_extraction.text import CountVectorizer, TfidfVectorizer
import numpy as np
from scipy.sparse import csr_matrix, spdiags
from scipy.sparse.linalg import norm
PTN_SYMBOL = re.compile(r‘[.!?\‘",]‘)
def tokenize(doc):
"""
英文分词,小写输出
"""
for word in PTN_SYMBOL.sub(‘ ‘, doc).split(‘ ‘):
if word and word != ‘ ‘:
yield word.lower()
def count_vocab(raw_documents):
"""
返回文档词频的稀疏矩阵
参考sklearn.feature_extraction.text.CountVectorizer._count_vocab
矩阵大小:M*N, M个文档, 共计N个单词
:param raw_documents: [‘Hello world.‘, ‘Hello word‘, ...]
:return: csc_matrix, vocabulary
"""
vocab = {}
data, indices, indptr = [], [], [0]
for doc in raw_documents:
doc_feature = defaultdict(int)
for term in tokenize(doc):
# 词在词表中的位置
index = vocab.setdefault(term, len(vocab))
# 统计当前文档的词频
doc_feature[index] += 1
# 存储当前文档的词及词频
indices.extend(doc_feature.keys())
data.extend(doc_feature.values())
# 累加词数
indptr.append(len(indices))
# 构造稀疏矩阵
X = csr_matrix((data, indices, indptr), shape=(len(indptr) - 1, len(vocab)), dtype=np.int64)
# 将单词表排序,同时更新压缩矩阵数据的位置
map_index = np.empty(len(vocab), dtype=np.int32)
for new_num, (term, old_num) in enumerate(sorted(vocab.items())):
vocab[term] = new_num
map_index[old_num] = new_num
X.indices = map_index.take(X.indices, mode=‘clip‘)
X.sort_indices()
return X, vocab
def tfidf_transform(X, smooth_idf=True, normalize=True):
"""
将词袋矩阵转换为TF-IDF矩阵
:param X: 压缩的词袋矩阵 M*N, 文本数M, 词袋容量N
:param smooth_idf: 是否对DF平滑处理
:param normalize: 是否对TF-IDF执行l2标准化
:return: TF-IDF压缩矩阵(csc_matrix)
"""
n_samples, n_features = X.shape
df = np.bincount(X.indices, minlength=X.shape[1])
df += int(smooth_idf)
new_n_samples = n_samples + int(smooth_idf)
idf = np.log(float(new_n_samples) / df) + 1.0
# 对角稀疏矩阵N*N,元素值对应单词的IDF
idf_diag = spdiags(idf, diags=0, m=n_features, n=n_features, format=‘csr‘)
# 等价于 DF * IDF
X = X * idf_diag
# 执行l2正则化
if normalize:
norm_l2 = 1. / norm(X, axis=1)
tmp = spdiags(norm_l2, diags=0, m=n_samples, n=n_samples, format=‘csr‘)
X = tmp * X
return X
if __name__ == ‘__main__‘:
# 源文档
raw_documents = [
‘This is the first document.‘,
‘This is the second second document.‘,
‘And the third one.‘,
‘Is this the first document?‘,
]
# 转换为词袋模型
X, vocab = count_vocab(raw_documents)
# X = CountVectorizer().fit_transform(raw_documents)
"""
>> vocab
{‘this‘: 8, ‘is‘: 3, ‘the‘: 6, ‘first‘: 2, ‘document‘: 1, ‘second‘: 5, ‘and‘: 0, ‘third‘: 7,
‘one‘: 4}
>> X.toarray()
[[0 1 1 1 0 0 1 0 1]
[0 1 0 1 0 2 1 0 1]
[1 0 0 0 1 0 1 1 0]
[0 1 1 1 0 0 1 0 1]]
"""
# 计算TF-IDF
tfidf_x = tfidf_transform(X)
# tfidf_x = TfidfVectorizer().fit_transform(raw_documents)
"""
>> tfidf_x.toarray()
[ [0. 0.439 0.542 0.439 0. 0. 0.359 0. 0.439]
[0. 0.272 0. 0.272 0. 0.853 0.223 0. 0.272]
[0.553 0. 0. 0. 0.553 0. 0.288 0.553 0. ]
[0. 0.439 0.542 0.439 0. 0. 0.359 0. 0.439] ]
1.7总结:
1.1在大型图像数据库上,CBIR技术用于检索在视觉上具有相似性的图像。这样返回的图像可以是颜色相似,纹理相似,图像中的物体或场景相似;总之,基本上可以是这些图像自身共有的任何信息。
对于高层查询,比如寻找相似物体,将查询图像与数据库中所有的图像进行完全比较(比如用特征匹配)往往是不可行的。在数据库很大的情况下,这样的查询方式,会耗费过多的时间。在过去的几年时间里,研究者成功地引入了文本挖掘技术到CBIR中处理问题,使在百万图像中搜索具有相似内容的图像成为可能。
1.2 视觉单词
为了将文本挖掘技术应用到图像中,我们首先需要建立视觉等效单词;这通常可以采用SIFT局部描述子可以做到。它的思想是将描述子空间量化成一些典型实例,并将图像中的每个描述子指派到其中的某个实例中。这些典型实例可以通过分析训练图像集确定,并被视为视觉单词。所有这些视觉单词构成的集合称为视觉词汇。从一个图像集中提取特征描述子,利用一些聚类算法可以构建出视觉单词。聚类算法中最常用的是K-means。视觉单词是在给定特征描述子空间中的一组向量集,在采用K-means进行聚类时得到的视觉单词是聚类质心。用视觉单词直方图来表示图像,则该模型便称为BOW模型。
1.3特征提取
特征提取就是通过我们常用的sifi方法,提取图像的特征。
4. 针对输入特征集,根据视觉词典进行量化
对于输入特征,量化的过程是将该特征映射到距离其最接近的视觉单词,并实现计数。
5. 把输入图像,根据TF-IDF转化成视觉单词(visual words)的频率直方图
6.构造特征到图像的倒排表,通过倒排表快速索引相关图像
7.根据索引结果进行直方图匹配
1.4代码及结果实现
1、提取特征值:
#提取文件夹下图像的sift特征
for i in range(nbr_images):
sift.process_image(imlist[i], featlist[i])
2、生成词汇字典/码本、
# -*- coding: utf-8 -*-
import pickle
from PCV.imagesearch import vocabulary
from PCV.tools.imtools import get_imlist
from PCV.localdescriptors import sift
#获取图像列表
imlist = get_imlist(‘E:/BaiduNetdiskDownload/PCV-book-data/data/first1000/‘)
nbr_images = len(imlist)
#获取特征列表
featlist = [imlist[i][:-3]+‘sift‘ for i in range(nbr_images)]
#提取文件夹下图像的sift特征
for i in range(nbr_images):
sift.process_image(imlist[i], featlist[i])
#生成词汇
voc = vocabulary.Vocabulary(‘ukbenchtest‘)
voc.train(featlist, 1000, 10)
#保存词汇
# saving vocabulary
with open(‘E:/BaiduNetdiskDownload/PCV-book-data/data/first1000/vocabulary.pkl‘, ‘wb‘) as f:
pickle.dump(voc, f)
print ‘vocabulary is:‘, voc.name, voc.nbr_words
这里的图像使用的是first1000(肯塔基大学物体识别数据集前1000幅图像)。生成了图像的sift文件和码本

3、建立并将数据存入数据库
# -*- coding: utf-8 -*-
import pickle
from PCV.imagesearch import imagesearch
from PCV.localdescriptors import sift
from sqlite3 import dbapi2 as sqlite
from PCV.tools.imtools import get_imlist
#获取图像列表
imlist = get_imlist(‘./first1000/‘)
nbr_images = len(imlist)
#获取特征列表
featlist = [imlist[i][:-3]+‘sift‘ for i in range(nbr_images)]
# load vocabulary
#载入词汇
with open(‘./first1000/vocabulary.pkl‘, ‘rb‘) as f:
voc = pickle.load(f)
#创建索引
indx = imagesearch.Indexer(‘testImaAdd.db‘,voc)
indx.create_tables()
# go through all images, project features on vocabulary and insert
#遍历所有的图像,并将它们的特征投影到词汇上
for i in range(nbr_images)[:500]:
locs,descr = sift.read_features_from_file(featlist[i])
indx.add_to_index(imlist[i],descr)
# commit to database
#提交到数据库
indx.db_commit()
con = sqlite.connect(‘testImaAdd.db‘)
print con.execute(‘select count (filename) from imlist‘).fetchone()
print con.execute(‘select * from imlist‘).fetchone()
这一步会生成一个新的数据库,储存图像的数据

4、对图像检索
# -*- coding: utf-8 -*-
import pickle
from PCV.localdescriptors import sift
from PCV.imagesearch import imagesearch
from PCV.geometry import homography
from PCV.tools.imtools import get_imlist
# load image list and vocabulary
#载入图像列表
imlist = get_imlist(‘./first1000/‘)
nbr_images = len(imlist)
#载入特征列表
featlist = [imlist[i][:-3]+‘sift‘ for i in range(nbr_images)]
#载入词汇
with open(‘./first1000/vocabulary.pkl‘, ‘rb‘) as f:
voc = pickle.load(f)
src = imagesearch.Searcher(‘testImaAdd.db‘,voc)
# index of query image and number of results to return
#查询图像索引和查询返回的图像数
q_ind = 0
nbr_results = 20
# regular query
# 常规查询(按欧式距离对结果排序)
res_reg = [w[1] for w in src.query(imlist[q_ind])[:nbr_results]]
print(‘top matches (regular):‘, res_reg)
# load image features for query image
#载入查询图像特征
q_locs,q_descr = sift.read_features_from_file(featlist[q_ind])
fp = homography.make_homog(q_locs[:,:2].T)
# RANSAC model for homography fitting
#用单应性进行拟合建立RANSAC模型
model = homography.RansacModel()
rank = {}
# load image features for result
#载入候选图像的特征
for ndx in res_reg[1:]:
locs,descr = sift.read_features_from_file(featlist[ndx]) # because ‘ndx‘ is a rowid of the DB that starts at 1
# get matches
matches = sift.match(q_descr,descr)
ind = matches.nonzero()[0]
ind2 = matches[ind]
tp = homography.make_homog(locs[:,:2].T)
# compute homography, count inliers. if not enough matches return empty list
try:
H,inliers = homography.H_from_ransac(fp[:,ind],tp[:,ind2],model,match_theshold=4)
except:
inliers = []
# store inlier count
rank[ndx] = len(inliers)
# sort dictionary to get the most inliers first
sorted_rank = sorted(rank.items(), key=lambda t: t[1], reverse=True)
res_geom = [res_reg[0]]+[s[0] for s in sorted_rank]
print(‘top matches (homography):‘, res_geom)
# 显示查询结果
imagesearch.plot_results(src,res_reg[:8]) #常规查询
imagesearch.plot_results(src,res_geom[:8]) #重排后的结果
5、通过常规查询和用单应性进行拟合建立RANSAC模型进行查询的结果如下
测试图片:



原文:https://www.cnblogs.com/cenyan/p/12952410.html