1.1计算机网络在信息时代中的作用
(三网融合)
电信网络:向用户提供电话、电报及传真等服务;
有线电视网络:向用户传送各种电视节目;
计算机网络:使用户能够在计算机之间传送数据文件;
Internet:因特网/互联网;两个基本特点:连通性和共享(资源共享,可以是信息/软件/硬件共享);
1.2互联网概述
互连网:网络的网络;
网络把许多计算机连接在一起,而互连网则把许多网络通过路由器连接在一起。与网络相连的计算机常称为主机;
ARPANET;(1983年,互联网诞生时间)
Internet:互联网,是一个专用名词,它指当前全球最大的、开放的、由众多网络互相连接而成的特定互连网,它采用TCP/IP协议族作为通信的规则,且其前身是美国的ARPANET;
internet:互连网,是一个通用名词,它泛指由多个计算机网络互连而成的计算机网络;
三级结构的互联网:主干网、地区网、校园网(企业网);
多层次的ISP结构的互联网:(互联网服务提供者/互联网服务提供商:ISP)主干ISP、地区ISP、本地ISP;互联网交换点(IXP):主要作用就是允许两个网络直接相连并交换分组,而不需要再通过第三个网络来转发分组;
RFC文档;
1.3互联网的组成
(1)边缘部分:由所有连接在互联网上的主机组成。
(2)核心部分:由大量网络和连接这些网络的路由器组成。为边缘部分提供服务(连通性和交换);
端系统之间的通信方式:客户-服务器方式(C/S方式)、对等方式(P2P方式);
路由器:网络核心部分起特殊作用,是一种专用计算机(但不叫做主机)。是实现分组交换的关键构件,其任务是转发收到的分组,这是网络核心部分最重要的功能。
(1)电路交换:建立连接->通话->释放连接;在通话的全部时间内,通话的两个用户始终占用端到端的通信资源。(线路传输效率往往很低);整个报文的比特流连续地从源点直达终点,好像在一个管道中传送;
(2)分组交换:采用存储转发技术。把整个数据段划分几个较小的数据段,加上必要的控制信息组成的首部后,构成一个分组,分组又称为“包”,首部也可称为“包头”。单个分组传送到相邻结点,存储下来后查找转发表,转发到下一个结点。
(3)报文交换:整个报文先传送到相邻结点,全部存储下来后查找转发表,转发到下一个结点;

1.4计算机网络在我国的发展
1989年11月,我国第一个公用分组交换网CNPAC建成运行;
(1)中国电信互联网CHINANET;
(2)中国联通互联网UNINET;
(3)中国移动互联网CMNET;
(4)中国教育和科研计算机网CERNET;
(5)中国科学技术网CSTNET;
1.5计算机网络的类别
(1)按照网络作用范围进行分类:
广域网(WAN):几十到几千公里;
城域网(MAN):5-50km;
局域网(LAN):1Km左右;
个人区域网(PAN):也常称无线个人区域网(WPAN);
(2)按照网络的使用者进行划分:
公用网:
专用网:
(3)用来把用户接入到互联网的网络
接入网(AN):本地接入网或居民接入网;其本身既不属于互联网的核心部分,也不属于边缘部分。是从某个用户端系统到互联网中的第一个路由器(也称边缘路由器)之间的一种网络;
1.6计算机网络的性能
(1)速率:网络技术中的速率指的是数据的传送速率,它也称为数据率或比特率。(最重要的一个性能指标)。(bit/s、b/s、bps)。一般指额定速率或标称速率;
(2)带宽:(频域)1.某个信号具有的频带宽度,(带宽的单位是赫)表示某信道允许通过的信号频带范围就称为改信道的带宽(或通频带)。(时域)2.某通道传送数据的能力,表示在单位时间内网络中的某信道所能通过的“最高数据率”。(bit/s)
(3)吞吐量:单位时间内通过某个网络(或信道、接口)的实际的数据量。
(4)时延:是指数据(一个报文或分组,甚至比特)从网络(或链路)的一端传送到另一端所需的时间。
1.发送时延:是主机或路由器发送数据帧所需要的时间(从第一个比特到该帧最后一个比特发送完毕所需时间),也叫传输时延;

2.传播时延:电磁波在信道中传播一定距离需要花费的时间;
发送时延与传输信道的长度没有关系;传播时延与信号的发送速率无关;

3.处理时延:主机或路由器在收到分组时要花费一定时间进行处理。
4.排队时延:取决于网络当时的通信量;

(5)时延带宽积:传播时延*带宽;(称为以比特为单位的链路长度);
(6)往返时间RTT:
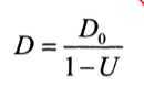
(7)利用率:信道利用率和网络利用率;D0表示网络空闲时的时延,D表示网络当前时延,U是网络利用率:![]()
1.7计算机网络的体系结构
分层可以将庞大而复杂的问题,转化为若干较小的局部问题,而这些较小的局部问题就比较易于研究和处理;
1.开放系统互连基本参考模型OSI/RM(1983年形成了开放系统互连基本参考模型的正式文件,ISO 7498国际标准,七层协议的体系结构);
2.为进行网络中的数据交换而建立的规则、标准或约定称为网络协议;
语法:数据与控制信息的结构或格式;
语义:需要发出何种控制信息,完成何种动作以及做出何种响应;
同步:时间实现顺序的详细说明;
计算机网络的各层及其协议的集合就是网络的体系结构,计算机网络的体系结构就是这个计算机网络及其构建所应完成的功能的精确定义;体系结构是抽象的,而实现则是你具体的,是真正在运行的计算机硬件和软件;

2020-05-23
原文:https://www.cnblogs.com/2015-16/p/12939834.html