最浅显的作用就是用来求一个矩阵的n次幂,就是将快速幂中的数字映射成矩阵
#include<iostream> #include<algorithm> #include<cstdio> using namespace std; #define N 102 #define mod 1000000007//一般会对结果进行取余 int tmp[N][N],ans[N][N],ori[N][N];//ori是输入的矩阵,ans是承接结果的矩阵,tmp是临时矩阵 void mul(int a[][N],int b[][N], int n) { //fill(tmp[0], tmp[0] + N*N, 0); memset(tmp, 0, sizeof tmp); for (int i = 0; i < n; i++)//矩阵的乘法 for (int j = 0; j < n; j++) for (int k = 0; k < n; k++) tmp[i][j] +=(a[i][k] * b[k][j]%mod)%mod; for (int i = 0; i < n; i++)//将tmp矩阵复制到a矩阵 for (int j = 0; j < n; j++) a[i][j] = tmp[i][j]; } void pow(int a[][N], int power) { memset(ans, 0, sizeof ans);//n是幂,N是矩阵大小 for (int i = 0; i < N; i++) ans[i][i] = 1;//设置为单位矩阵(与快速幂中的result是是一样的作用) while (power)//与单个数字的快速幂一样 { if (power & 1) mul(ans, a, N);//是奇数就用ans承接结果 power >>= 1; mul(a, a, N);//是偶数就执行a的平方来降幂 } } int main() { std::ios::sync_with_stdio(false); std::cin.tie(0); std::cout.tie(0); int n,k; cin >> n >> k; for (int i = 0; i < n; i++) for (int j = 0; j < n; j++) cin >> ori[i][j]; pow(ori, k); for (int i = 0; i < n; i++) { for (int j = 0; j < n; j++) printf("%s%d", j == 0 ? "" : " ", ans[i][j]);//输出结果 cout << endl; } }
上面的代码只是为了较好地理解矩阵快速幂的算法实现,但是其中涉及到矩阵的复制、较多的初始化,在实际解题中会不适用,故如下给出实用代码
#include<iostream> #include<algorithm> #include<cstdio> using namespace std; #define N 102 #define mod 1000000007 struct matrix//使用struct { long long c[N][N]; }aa, bb;//注意:在这里初始化的aa、bb矩阵中默认值为0(aa表示初始矩阵,bb表示计算的结果矩阵) long long ans[N][N], ori[N][N]; long long n, k; matrix mul(matrix a, matrix b) { matrix tmp;//这里初始化矩阵中的值为随机数,所以要将其设为0(也是为了后续的函数中能够使用tmp而不影响结果) for (int i = 0; i < n; i++) for (int j = 0; j < n; j++) tmp.c[i][j] = 0; for (int i = 0; i < n; i++) for (int j = 0; j < n; j++) for (int k = 0; k < n; k++) tmp.c[i][j] = (tmp.c[i][j] + (a.c[i][k] * b.c[k][j]) % mod) % mod; return tmp;//直接返回struct结构体,不用矩阵复制 } matrix pow(long long power) { matrix ans;//这里初始化矩阵中的值为随机数,所以要将其设为0,对角线置为1,表示一个单位矩阵,否则后续结果会出错 for (int i = 0; i < n; i++) for (int j = 0; j < n; j++) { if (i == j)ans.c[i][j] = 1; else ans.c[i][j] = 0; } while (power)//与单个数字的快速幂一样 { if (power & 1) ans = mul(ans, aa); power >>= 1; aa = mul(aa, aa); } return ans; } int main() { scanf("%lld%lld", &n, &k); for (int i = 0; i < n; i++) for (int j = 0; j < n; j++) scanf("%lld", &aa.c[i][j]); bb = pow(k); for (int i = 0; i < n; i++) { for (int j = 0; j < n; j++) printf("%s%lld", j == 0 ? "" : " ", bb.c[i][j]); cout << endl; } }
上面代码的单位矩阵是后面新建的,而我们可以直接使用bb作为单位矩阵 给出矩阵快速幂的最后模板
#include<iostream> #include<algorithm> #include<cstdio> using namespace std; #define N 102 #define mod 1000000007 struct matrix { long long c[N][N]; }aa,bb; long long ans[N][N], ori[N][N]; long long n, k; matrix mul(matrix a, matrix b) { matrix tmp; for (int i = 0; i < n; i++)//这里初始化矩阵中的值为随机数,所以要将其设为0(也是为了后续的函数中能够使用tmp而不影响结果) for (int j = 0; j < n; j++) tmp.c[i][j] = 0; for (int i = 0; i < n; i++) for (int j = 0; j < n; j++) for (int k = 0; k < n; k++) tmp.c[i][j] =(tmp.c[i][j]+ (a.c[i][k] * b.c[k][j]) % mod) % mod;//注意这里的取余方式,现在乘法取余,防止在乘法就溢出 return tmp;//直接返回struct结构体,不用矩阵复制 } matrix pow(long long power) { for (int i = 0; i < n; i++) bb.c[i][i] = 1;//使用bb作为单位矩阵来承接结果 while (power)//与单个数字的快速幂一样 { if (power & 1) bb=mul(bb, aa); power >>= 1; aa=mul(aa, aa); } return bb; } int main() { scanf("%lld%lld", &n, &k); for (int i = 0; i < n; i++) for (int j = 0; j < n; j++) scanf("%lld",&aa.c[i][j]); bb=pow( k); for (int i = 0; i < n; i++) { for (int j = 0; j < n; j++) printf("%s%lld", j == 0 ? "" : " ", bb.c[i][j]); cout << endl; } }
https://www.luogu.com.cn/problem/P3390(使用模板代码即可解决)
求解递推式的值(就像是高中数学的那种)
例题:https://www.luogu.com.cn/problem/P1939
第一步:列出递推式:ax=ax-1+ax-3(x>3)
第二步:ax最早是由ax-3三而来,而矩阵快速幂所解决的问题范围又是方阵,所以我们构造需要一个3*3的方阵
第三步:推理
这是第n项AN:
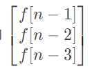
这是第n-1项AN-1:
于是我们构造的矩阵ans应该满足
将第n-1项横过来:f[n-1] f[n-2] f[n-3]
f[n]= f[n-1]+f[n-3] : 1 0 1 (只需要f[n-1] f[n-3] )
f[n-1] : 1 0 0 (第n-1项中有f[n-1] )
f[n-2] : 0 1 0 (第n-1项中有f[n-2] )
于是构造的ans矩阵就出来了
第四步:求解
这样一来就求出一个等比数列:An=ans*An-1——>An=ansn-1*A1(这里的A1就是【1 1 1 】即 初始a1 a2 a3的值)
#include<iostream> #include<algorithm> #include<cstdio> using namespace std; #define N 102 #define mod 1000000007 struct matrix { long long c[N][N]; }aa, bb; long long ans[N][N], ori[N][N]; long long n, k; matrix mul(matrix a, matrix b) { matrix tmp; for (int i = 0; i < n; i++) for (int j = 0; j < n; j++) tmp.c[i][j] = 0; for (int i = 0; i < n; i++) for (int j = 0; j < n; j++) for (int k = 0; k < n; k++) tmp.c[i][j] = (tmp.c[i][j] + (a.c[i][k] * b.c[k][j]) % mod) % mod; return tmp; } matrix pow(long long power) { for (int i = 0; i < n; i++) bb.c[i][i] = 1; while (power)//与单个数字的快速幂一样 { if (power & 1) bb = mul(bb, aa); power >>= 1; aa = mul(aa, aa); } return bb; } int main() { aa.c[0][0] = aa.c[0][2] = aa.c[1][0] = aa.c[2][1] = 1;//为初始的aa矩阵赋值(就是分析中的ans矩阵) n = 3;//矩阵的大小为3 scanf("%lld",&k); for (int i = 0; i < k; i++) { long long tt; scanf("%lld", &tt); if (tt <= 3) { printf("1\n"); continue; } bb = pow(tt-1); printf("%lld\n", bb.c[0][0]);//在An项中,她是一个三行一列的矩阵,而所求的an就是第一行的值 for (int i = 0; i < n; i++) { for (int j = 0; j < n; j++) { bb.c[i][j] = 0; aa.c[i][j] = 0;//因为要求多次,所以要重新初始化aa、bb矩阵 } } aa.c[0][0] = aa.c[0][2] = aa.c[1][0] = aa.c[2][1] = 1; } }
参考:https://blog.csdn.net/zhangxiaoduoduo/article/details/81807338、https://blog.csdn.net/red_red_red/article/details/90208713、https://www.luogu.com.cn/blog/_post/101179
原文:https://www.cnblogs.com/Jason66661010/p/12906311.html