首页 > 其他 > 详细

导数的四则运算和复合函数的求导

时间:2020-05-06 00:34:35      阅读:97      评论:0      收藏:0      [点我收藏+]

https://mp.weixin.qq.com/s?src=11&timestamp=1588689667&ver=2320&signature=wu7GM5DjwgMte5kTZ7YIH*TabyfI15G6fDziO4nABBEOQK2wfcaoSo9K2DSq*v6wGoPaMOfU9j8DJ7la4TEYlr6TYKFRalAWzJtJYO86DwbBsquhBxtDotyJPIxRYCvP&new=1

 

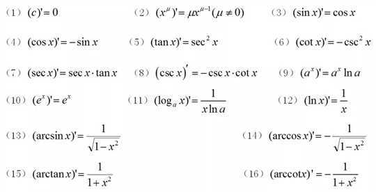
1.常用初等函数的求导公式

技术分享图片

 

 

2.函数的四则运算求导简单可记为

技术分享图片

 

 

 

3.复合函数求导简单可记为

技术分享图片

 

导数的四则运算和复合函数的求导

原文:https://www.cnblogs.com/liuguoyao514257665/p/12833561.html

(0)
(0)
   
举报
评论 一句话评论(0
关于我们 - 联系我们 - 留言反馈 - 联系我们:wmxa8@hotmail.com
© 2014 bubuko.com 版权所有
打开技术之扣,分享程序人生!