http://labfile.oss.aliyuncs.com/courses/782/data.zip数据下载地址
用到的三张表
Team Per Game Stats
Opponent Per Game Stats
Miscellaneous Stats
整体思路,根据输赢按公式赋分,赢了且是主场加分
第一个函数,首先初始化一下数据,去除一些无关数据并将这三个表格通过Team属性列进行连接
第二个函数,获取每支队伍的Elo Score等级分,最开始给定一个初始值
第三个函数,计算每支球队的Elo等级分,分输赢队伍对每个队伍进行等级赋分
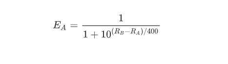
这里借鉴了国际象棋的等级划分制度,Elo 等级划分制度
A 和 B 的当前等级分为 RA?? RB, A 对 B 的胜率期望值为EA,B 对A 的胜率期望值为EB



k值根据不同的分数会发射变化
第四个函数,调用上面的相关函数,得到最后的elo分值,进行回归分析
最后就是预测模型了
import pandas as pd import math import csv import random import numpy as np from sklearn import linear_model from sklearn.model_selection import cross_val_score base_elo = 1600 team_elos = {} team_stats = {} X = [] y = [] #初始化数据,从T,O,M表格中读取数据,取出一些无关数据并将这三个表格通过team树形列进行连接: #根据每个队伍的Miscellaneous Opponent,Team统计数据csv文件进行初始化 def initialize_data(Mstat,Ostat,Tstat): new_Mstat = Mstat.drop([‘Rk‘,‘Arena‘],axis=1) new_Ostat = Ostat.drop([‘Rk‘,"G",‘MP‘],axis=1) new_Tstat = Tstat.drop([‘Rk‘,"G",‘MP‘],axis=1) team_stats1 = pd.merge(new_Mstat,new_Ostat,how=‘left‘,on=‘Team‘) team_stats1 = pd.merge(team_stats1,new_Tstat,how=‘left‘,on=‘Team‘) return team_stats1.set_index(‘Team‘,inplace=False,drop=True) def get_elo(team): try: return team_elos[team] except: team_elos[team] = base_elo return team_elos[team] def calc_elo(win_team,lose_team): winner_rank = get_elo(win_team) loser_rank = get_elo(lose_team) #根据Logistic Distribution计算 PK 双方(A和B)对各自的胜率期望值计算公式 rank_diff = winner_rank - loser_rank exp = (rank_diff *-1)/400 odds = 1/(1+math.pow(10,exp)) #根据rank界别修改k值 if winner_rank < 2100: k = 32 elif winner_rank >=2100 and winner_rank <2400: k = 24 else: k=16 #更新rank数值 new_winner_rank = round(winner_rank+(k*(1-odds))) new_loser_rank = round(loser_rank+(k*(0-odds))) return new_winner_rank,new_loser_rank #基于统计好的数据,给每只队伍的eloscore计算结果,建立对应15-16年数据集,我们认为主场作战的队伍更有优势,因此会给主场队伍加上100分 def build_dataSet(all_data): print("Building data set..") X = [] skip = 0 for index,row in all_data.iterrows(): Wteam = row[‘WTeam‘] Lteam = row[‘LTeam‘] #获取最初的elo或者每个队伍最初的elo值 team1_elo = get_elo(Wteam) team2_elo = get_elo(Lteam) #给主场比赛队伍加上100的elo值 if row[‘WLoc‘] == ‘H‘: team1_elo += 100 else: team2_elo += 100 #把elo当成评价每个队伍的第一个特征值 team1_features = [team1_elo] team2_features = [team2_elo] # 添加我们从basketball reference.com获得的每个队伍的统计信息 for key,value in team_stats.loc[Wteam].iteritems(): team1_features.append(value) for key,value in team_stats.loc[Lteam].iteritems(): team2_features.append(value) # 将两支队伍的特征值随机的分配在每场比赛数据的左右两侧 # 并将对应的0/1赋给y值 if random.random() > 0.5: X.append(team1_features+team2_features) y.append(0) else: X.append(team2_features+team1_features) y.append(1) if skip ==0: print(‘X‘,X) skip = 1 new_winner_rank,new_loser_rank = calc_elo(Wteam,Lteam) team_elos[Wteam] = new_winner_rank team_elos[Lteam] = new_loser_rank return np.nan_to_num(X),y #最终利用训练好的模型在 16~17 年的常规赛数据中进行预测 def predict_winner(team_1, team_2, model): features = [] # team 1,客场队伍 features.append(get_elo(team_1)) for key, value in team_stats.loc[team_1].iteritems(): features.append(value) # team 2,主场队伍 features.append(get_elo(team_2) + 100) for key, value in team_stats.loc[team_2].iteritems(): features.append(value) features = np.nan_to_num(features) return model.predict_proba([features]) #最终在 main 函数中调用这些数据处理函数,使用 sklearn 的Logistic Regression方法建立回归模型 if __name__==‘__main__‘: folder = ‘data‘ Mstat = pd.read_csv(folder + ‘/15-16Miscellaneous_Stat.csv‘) Ostat = pd.read_csv(folder + ‘/15-16Opponent_Per_Game_Stat.csv‘) Tstat = pd.read_csv(folder + ‘/15-16Team_Per_Game_Stat.csv‘) team_stats = initialize_data(Mstat, Ostat, Tstat) result_data = pd.read_csv(folder + ‘/2015-2016_result.csv‘) X, y = build_dataSet(result_data) #训练网络模型 print("Fitting on %d game samples.." % len(X)) model = linear_model.LogisticRegression() model.fit(X,y) print("Doing cross-validation..") cross_val_score(model,X,y,cv = 10,scoring=‘accuracy‘,n_jobs=-1).mean() print(model) print(‘Predicting on new schedule..‘) schedule1617 = pd.read_csv(folder + ‘/16-17Schedule.csv‘) result = [] for index, row in schedule1617.iterrows(): team1 = row[‘Vteam‘] team2 = row[‘Hteam‘] pred = predict_winner(team1, team2, model) prob = pred[0][0] if prob > 0.5: winner = team1 loser = team2 result.append([winner, loser, prob]) else: winner = team2 loser = team1 result.append([winner, loser, 1 - prob]) with open(‘16-17Result.csv‘, ‘w‘) as f: writer = csv.writer(f) writer.writerow([‘win‘, ‘lose‘, ‘probability‘]) writer.writerows(result) print(‘done.‘)
代码部分转载自https://blog.csdn.net/u010824946/java/article/details/89441145
原文:https://www.cnblogs.com/dieyingmanwu/p/12591428.html