一、MOS是通信术语,值常以衡量通信系统语音质量的重要指标。 Mean Opinion Score 平均意见值。
测量方法:
分主观MOS,客观MOS:
(1)主观MOS分采用
ITU-T P.800和P.830建议书,由不同的人分别对原始语料和经过系统处理后有衰退的语料进行主观感觉对比,得出MOS分,最后求平均值。
(2)而客观MOS评价则采用ITU-T P.862建议书提供的
PESQ(Perceptual Evaluation of Speech Quality)方法,由专门的仪器
在MOS方法中,0分代表最差的质量,5分为最高分。标准PCM的质量约为4.4分。
二、 Qos:Quality of service 音视频服务质量。
三、 Qoe:Quality of Experience:用户感受到的完成整个过程的难易程度,体验质量。
Qoe:评测方法,1、视频的主观评测。2、双端文件模式(是否可以记录通话两端数据,用)3、单端实时评测。
影响QoE的因素:视频源节目质量,端到端网络QoS.
四、评价音视频质量的三把尺子。
(1)音视频内容质量
PSNR:Peak Signal to Noise Ratio。 峰值信噪比,是一种全参考的图像质量评价指标。
PSNR高于40dB说明图像质量极好(即非常接近原始图像),
在30—40dB通常表示图像质量是好的(即失真可以察觉但可以接受),
在20—30dB说明图像质量差;
最后,PSNR低于20dB图像不可接受
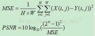
计算功式:X,Y分别代表的是两幅图。WH 是宽高, n为每像素的比特数,一般取8。

音视频相关概念
原文:https://www.cnblogs.com/chenxianming/p/12306642.html