\1. 马尔可夫模型的几类子模型
大家应该还记得马尔科夫链(Markov Chain),了解机器学习的也都知道隐马尔可夫模型(Hidden Markov Model,HMM)。它们具有的一个共同性质就是马尔可夫性(无后效性),也就是指系统的下个状态只与当前状态信息有关,而与更早之前的状态无关。
马尔可夫决策过程(Markov Decision Process, MDP)也具有马尔可夫性,与上面不同的是MDP考虑了动作,即系统下个状态不仅和当前的状态有关,也和当前采取的动作有关。还是举下棋的例子,当我们在某个局面(状态s)走了一步(动作a),这时对手的选择(导致下个状态s’)我们是不能确定的,但是他的选择只和s和a有关,而不用考虑更早之前的状态和动作,即s’是根据s和a随机生成的。
我们用一个二维表格表示一下,各种马尔可夫子模型的关系就很清楚了:
| 不考虑动作 | 考虑动作 | |
|---|---|---|
| 状态完全可见 | 马尔科夫链(MC) | 马尔可夫决策过程(MDP) |
| 状态不完全可见 | 隐马尔可夫模型(HMM) | 不完全可观察马尔可夫决策过程(POMDP) |
\2. 马尔可夫决策过程
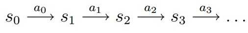
一个马尔可夫决策过程由一个四元组构成M = (S, A, Psa, ??) [注1]
MDP 的动态过程如下:某个智能体(agent)的初始状态为s0,然后从 A 中挑选一个动作a0执行,执行后,agent 按Psa概率随机转移到了下一个s1状态,s1∈ Ps0a0。然后再执行一个动作a1,就转移到了s2,接下来再执行a2…,我们可以用下面的图表示状态转移的过程。

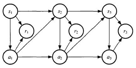
如果回报r是根据状态s和动作a得到的,则MDP还可以表示成下图:

\3. 值函数(value function)
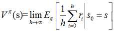
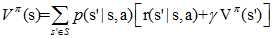
上篇我们提到增强学习学到的是一个从环境状态到动作的映射(即行为策略),记为策略π: S→A。而增强学习往往又具有延迟回报的特点: 如果在第n步输掉了棋,那么只有状态sn和动作an获得了立即回报r(sn,an)=-1,前面的所有状态立即回报均为0。所以对于之前的任意状态s和动作a,立即回报函数r(s,a)无法说明策略的好坏。因而需要定义值函数(value function,又叫效用函数)来表明当前状态下策略π的长期影响。
用Vπ(s)表示策略π下,状态s的值函数。ri表示未来第i步的立即回报,常见的值函数有以下三种:
a)
b)
c)
其中:
a)是采用策略π的情况下未来有限h步的期望立即回报总和;
b)是采用策略π的情况下期望的平均回报;
c)是值函数最常见的形式,式中γ∈[0,1]称为折合因子,表明了未来的回报相对于当前回报的重要程度。特别的,γ=0时,相当于只考虑立即不考虑长期回报,γ=1时,将长期回报和立即回报看得同等重要。接下来我们只讨论第三种形式,
现在将值函数的第三种形式展开,其中ri表示未来第i步回报,s‘表示下一步状态,则有:

给定策略π和初始状态s,则动作a=π(s),下个时刻将以概率p(s‘|s,a)转向下个状态s‘,那么上式的期望可以拆开,可以重写为:

上面提到的值函数称为状态值函数(state value function),需要注意的是,在Vπ(s)中,π和初始状态s是我们给定的,而初始动作a是由策略π和状态s决定的,即a=π(s)。
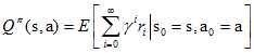
定义动作值函数(action value functionQ函数)如下:

给定当前状态s和当前动作a,在未来遵循策略π,那么系统将以概率p(s‘|s,a)转向下个状态s‘,上式可以重写为:

在Qπ(s,a)中,不仅策略π和初始状态s是我们给定的,当前的动作a也是我们给定的,这是Qπ(s,a)和Vπ(a)的主要区别。
知道值函数的概念后,一个MDP的最优策略可以由下式表示:

即我们寻找的是在任意初始条件s下,能够最大化值函数的策略π*。
\4. 值函数与Q函数计算的例子
上面的概念可能描述得不够清晰,接下来我们实际计算一下,如图所示是一个格子世界,我们假设agent从左下角的start点出发,右上角为目标位置,称为吸收状态(Absorbing state),对于进入吸收态的动作,我们给予立即回报100,对其他动作则给予0回报,折合因子γ的值我们选择0.9。
为了方便描述,记第i行,第j列的状态为sij, 在每个状态,有四种上下左右四种可选的动作,分别记为au,ad,al,ar。(up,down,left,right首字母),并认为状态按动作a选择的方向转移的概率为1。

1.由于状态转移概率是1,每组(s,a)对应了唯一的s‘。回报函数r(s‘|s,a)可以简记为r(s,a)
如下所示,每个格子代表一个状态s,箭头则代表动作a,旁边的数字代表立即回报,可以看到只有进入目标位置的动作获得了回报100,其他动作都获得了0回报。 即r(s12,ar) = r(s23,au) =100。

\2. 一个策略π如图所示:

\3. 值函数Vπ(s)如下所示

根据Vπ的表达式,立即回报,和策略π,有
Vπ(s12) = r(s12,ar) = r(s13|s12,ar) = 100
Vπ(s11)= r(s11,ar)+γVπ(s12) = 0+0.9100 = 90
Vπ(s23) = r(s23,au) = 100
Vπ(s22)= r(s22,ar)+γ*Vπ(s23) = 90
Vπ(s21)= r(s21,ar)+γ*Vπ(s22) = 81
\4. Q(s,a)值如下所示

有了策略π和立即回报函数r(s,a), Qπ(s,a)如何得到的呢?
对s11计算Q函数(用到了上面Vπ的结果)如下:
Qπ(s11,ar)=r(s11,ar)+ γ Vπ(s12) =0+0.9100 = 90
Qπ(s11,ad)=r(s11,ad)+ γ *Vπ(s21) = 72
至此我们了解了马尔可夫决策过程的基本概念,知道了增强学习的目标(获得任意初始条件下,使Vπ值最大的策略π*),下一篇开始介绍求解最优策略的方法。
[注]采用折合因子作为值函数的MDP也可以定义为五元组M=(S, A, P, γ, R)。也有的书上把值函数作为一个因子定义五元组。还有定义为三元组的,不过MDP的基本组成元素是不变的。
参考来源:
原文:https://www.cnblogs.com/Ryan0v0/p/12255262.html