这两天学习了主席树,基本上搞懂了主席树是怎么操作的
主席树,是一种可持久化线段树。最简单的操作就是维护静态区间第 \(k\) 小
主席树通过维护历史版本,实现查询区间的有关操作
假设现在有这么一个序列:\(4,1,3,5,2\)
问如何求出区间[1,3]内大小为第二的数?
利用大眼观察法,很显然是3
那么让计算机去怎么实现呢?它又没有眼睛
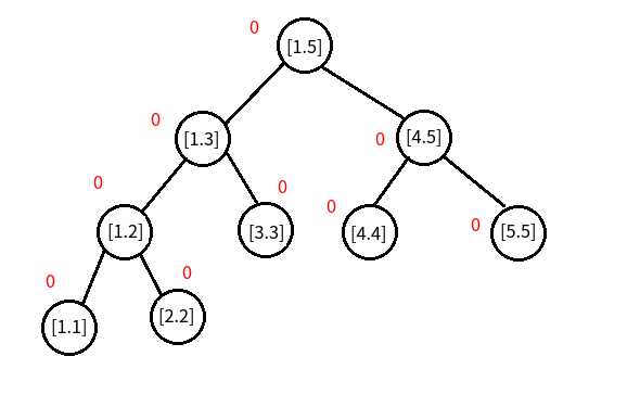
对于这个序列,我们可以先建一颗空的权值线段树,命名为“树0”(方便后面的使用),如图:

别告诉我你不知道什么是权值线段树,自己去百度;
现在序列里面第一个数是 \(4\),我们往树里面插入一个 \(4\) ,因为要保留历史版本,所以我们对 \(4\) 这个数新建一颗线段树,命名为“树1”,如图:

为什么是这样呢?
\(1\le 4 \le5\),故区间[1,5]++;
\(4\le 4 \le5\),故区间[4,5]++;
\(4\le 4 \le4\),故区间[4,4]++;
其他的还是 \(0\) ;
懂了没有。。。
继续插入第二个数 \(1\) ,建成“树2” ,这里不解释了

再插入第三个数 \(3\),建成“树3”

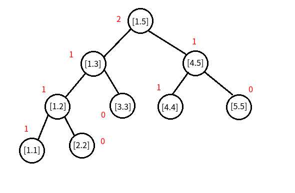
OK!现在我们就已经可以求出[1,3]内的大小为第二大的数了
递归操作查询排名应该都会吧?
不会的看这里:
进入[1,5]节点,我们发现他的左儿子的子树个数为\(2\) , $2\le k $ \((k=2)\),于是进入[1,3]节点;
然后我们发现[1,3]节点的左儿子子树个数\(1 < k\) \((k=2)\),于是进入[3,3]节点;
此时我们把\(k\)更新为\(1\) (\(2-1=1\));
走到头了,于是就返回3,所以答案就是3,也就是原来的序列区间[1, 3]的第2小就是3
现在你明白了主席树是怎么操作了的吧?
但是有一个问题:上面我们求的是区间[1,3]的第 \(k\) 大的数
同理,区间[1,r] (\(r \in [1,n],r \in N\))的第 \(k\) 大数我们也就会求了
那怎么求区间[l,r]的第 \(k\) 大数呢?
举个例子,求区间[2,3]的第 \(k\) 大数
我们拿建出来的“树3”减掉“树1”后,再进行如上操作就可以了
这也就是前缀和思想
所以对于区间[l,r] 我们拿“树r”减去“树(l-1)”,再query一下就可以求得答案了
那么主席树就介绍完了,具体实现给个例题让大家看看,还有不懂得可以再参考一下他人的博客
例题:静态区间第 \(k\) 小(【模板】可持久化线段树1/主席树)
(鸣谢@wsk1202提供板子)
#include <bits/stdc++.h>
#define N (200000+5)
#define ls ch[rt][0]
#define rs ch[rt][1]
#define vl ch[vs][0]
#define vr ch[vs][1]//几个宏定义
using namespace std;
int n,m,q;
int rt[N],ch[N<<5][2],tot,val[N<<5];
int a[N],b[N];
inline int query(int x){//离散化
return lower_bound(b+1,b+m+1,x)-b;
}
inline void update(int &rt,int vs,int l,int r,int k){//新建一棵树
rt=++tot;
ls=vl,rs=vr;
val[rt]=val[vs]+1;
if(l==r) return;
int mid=(l+r)>>1;
if(k<=mid) update(ls,vl,l,mid,k);
else update(rs,vr,mid+1,r,k);
}
inline int query(int rt,int vs,int l,int r,int k){//询问
if(l==r) return l;
int mid=(l+r)>>1;
int v=val[vl]-val[ls];
if(k<=v) return query(ls,vl,l,mid,k);
else return query(rs,vr,mid+1,r,k-v);
}
int main(){
scanf("%d%d",&n,&q);
for(int i=1;i<=n;i++) scanf("%d",&a[i]),b[i]=a[i];
sort(b+1,b+n+1);
m=unique(b+1,b+n+1)-b-1;
for(int i=1;i<=n;i++){
update(rt[i],rt[i-1],1,n,query(a[i]));
}
while(q--){
int l,r,k;
scanf("%d%d%d",&l,&r,&k);
printf("%d\n",b[query(rt[l-1],rt[r],1,n,k)]);
}
return 0;
}原文:https://www.cnblogs.com/Xx-queue/p/12208581.html