一、朴素贝叶斯法
朴素贝叶斯naive bayes是基于贝叶斯定力与特征条件独立假设的分类方法,与贝叶斯估计是不同的概念。
对于给定的训练数据集,基于特征条件独立假设学习输入输出的联合概率分布,然后基于此模型,对给定的输入x,利用贝叶斯定力求出后验概率最大的输出y。
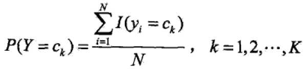
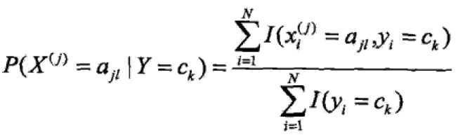
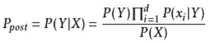
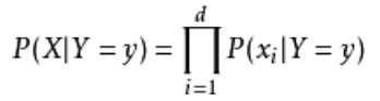
先验概率分布P(Y=ck),条件概率分布P(X=x|Y=ck),学习到联合概率分布P(X,Y)。
朴素贝叶斯对条件概率分布做了条件独立性假设,是一个较强的假设:用于分类的特征在类确定的条件下都是条件独立的。
![]()
后验概率计算:
![]()
朴素贝叶斯将实力分到后验概率最大的类中,等价于期望风险最小化。
二、参数估计
1、极大似然估计
先验概率和条件概率的极大似然估计是


2、贝叶斯估计
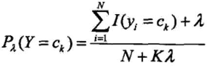
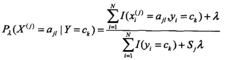
用极大似然估计可能会出现所要估计的概率值为0的情况,影响后验概率的计算,解决这一方法采用贝叶斯估计,先验概率和条件概率的贝叶斯估计是:


λ≥0,在随机变量各个取值的频数上赋予一个整数,常取λ=1称为拉普拉斯平滑。
原文:https://www.cnblogs.com/xxdk/p/12058918.html