字典树,顾名思义它是棵树,是棵处理字符串的树,具体是棵什么样的树呢,我们可以举个栗子:
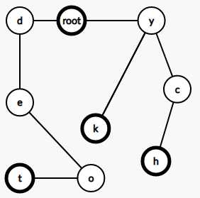
假设现在有四个字符串:ych,yk,devot:
那么这棵树大概长这个亚子:

而图中加黑的点,也就是每个单词的终点;
主要用于查询前缀与单词?
然后咱们康实现:
1.插入一个单词:
首先我们设置了一个\(trie[i][j]\)数组(这里设trie树中全是小写英文字母,那这样对于每个节点,名义上是有26个子节点的。但是显然我们没必要将空间开的这么大,因为可能在一组数据中,有些字母是没有出现过的,所以我们用多少,开多少),表示以i为根的子树里,第j个字符的编号是多少。
可能有点抽象,我们以上图为例:
假设加入单词的顺序是:ych,yk,devot
那么(设1为根:
\[
trie[1][24]=2;\to y\trie[2][2]=3;\ \ \to c\trie[3][7]=4;\ \ \to h\trie[2][10]=5;\to k\trie[1][3]=6;\ \ \to d\trie[6][4]=7; \ \ \to e\trie[7][14]=8;\to o\trie[8][19]=9;\to t
\]
从这里可以看出,对于一个字母来说,它拥有两个编号,一个编号是固定不变的,也就是我们上面数组中的j,而另一个编号,同一个字母可以不同,取决于加入字典树的顺序,也就是\(trie[i][j]\)的值。
插入时,我们先判断是否有这个字母的节点,如果有,就直接在这个节点上继续操作,如果没有,新建一个节点,如此下去,一直插入到词尾
int tot=1;
void insert(char *s,int rt/*根*/) {
    for(int i=0;i<strlen(s);i++) {
        int x=s[i]-'a';
        if(trie[rt][x]==0) trie[rt][x]=++tot;//没有这个节点,新建
        rt=trie[rt][x];//递归下去
    }
    vis[rt]=1;//标记这是一个单词的最后
}2.查询操作与插入操作异曲同工:
从根开始扫描某个字母是否出现过,顺着字典树往下找,如果中途发现没有某个节点,则证明没有;
如果找到最后,但vis[rt]=0,证明字典树中没有这个单词,但是有这个前缀;
bool search(char *s,int rt) {
  for(int i=0;i<strlen(s);i++) {
      int x=s[i]-'a';
      if(trie[rt][x]==0) return 0;
      rt=trie[rt][x];
  }
  if(vis[rt]) 
      return 1;
  return 0;
}一道很简单的板子题:
(记得把数组开大
#include<bits/stdc++.h>
using namespace std;
int n,m;
char a[55];
int vis[1000000],talk[1000000];
int tot=1;
int trie[1000000][27];
void insert(char *s,int rt) {
    for(int i=0;i<strlen(s);i++) {
        int x=s[i]-'a';
        if(trie[rt][x]==0) 
            trie[rt][x]=++tot;
        rt=trie[rt][x];
    }
    vis[rt]=1;
}
int search(char *s,int rt) {
    for(int i=0;i<strlen(s);i++) {
        int x=s[i]-'a';
        if(trie[rt][x]==0) {return 0;}
        rt=trie[rt][x];
    }
    if(talk[rt]&&vis[rt]) 
        return 2;
    if(vis[rt]) {
        talk[rt]=1;
        return 1;
    }
    else {
        return 0;
    }
}
int main() {
    scanf("%d",&n);
    int rt=1;
    for(int i=1;i<=n;i++) {
        scanf("%s",a);
        insert(a,rt);
    }
    scanf("%d",&m);
    int bj;
    for(int i=1;i<=m;i++) {
        scanf("%s",a);
        bj=search(a,rt);
        if(bj==0) printf("WRONG\n");
        if(bj==1) printf("OK\n");
        if(bj==2) printf("REPEAT\n");
    }
    return 0;
}原文:https://www.cnblogs.com/zhuier-xquan/p/11830245.html