一、线性回归算法的原理
回归是基于已有数据对新的数据进行预测,比如预测股票走势。这里我们主要讲简单线性回归。基于标准的线性回归,可以扩展出更多的线性回归算法。

假设我们找到了最佳拟合的直线方程 :
,
则对每一个样本点
,根据我们的直线方程,预测值为:
,其对应的真值为
。
我们希望
和
的差距尽量小,这里我们用
表达
和
的距离,
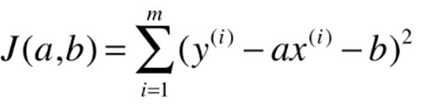
考虑所有样本则为:![]()
我们的目标是使
尽可能小,而
,所以我们要找到 a 、b ,使得
尽可能小。
被称为损失函数或效用函数。
通过分析问题,确定问题的损失函数或效用函数,通过最优化损失函数或者效用函数,获得机器学习的模型,这是参数学习算法的一半套路。
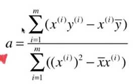
求损失函数可转化为典型的最小二乘法问题: 最小化误差的平方。
最小二乘法的求解过程:
目标:找到 a 、b ,使得
尽可能小。






![]()







一般过程:
import numpy as np import matplotlib.pyplot as plt x=np.array([1,2,3,4,5],dtype=np.float) y=np.array([1,3.0,2,3,5]) plt.scatter(x,y) x_mean=np.mean(x) y_mean=np.mean(y) num=0.0 d=0.0 for x_i,y_i in zip(x,y): num+=(x_i-x_mean)*(y_i-y_mean) d+=(x_i-x_mean)**2 a=num/d b=y_mean-a*x_mean y_hat=a*x+b plt.figure(2) plt.scatter(x,y) plt.plot(x,y_hat,c=‘r‘) x_predict=4.8 y_predict=a*x_predict+b print(y_predict) plt.scatter(x_predict,y_predict,c=‘b‘,marker=‘+‘)
输出结果:

2.基于sklearn的简单线性回归
import numpy as np import matplotlib.pyplot as plt from sklearn.linear_model import LinearRegression # 线性回归 # 样本数据集,第一列为x,第二列为y,在x和y之间建立回归模型 data=[ [0.067732,3.176513],[0.427810,3.816464],[0.995731,4.550095],[0.738336,4.256571],[0.981083,4.560815], [0.526171,3.929515],[0.378887,3.526170],[0.033859,3.156393],[0.132791,3.110301],[0.138306,3.149813], [0.247809,3.476346],[0.648270,4.119688],[0.731209,4.282233],[0.236833,3.486582],[0.969788,4.655492], [0.607492,3.965162],[0.358622,3.514900],[0.147846,3.125947],[0.637820,4.094115],[0.230372,3.476039], [0.070237,3.210610],[0.067154,3.190612],[0.925577,4.631504],[0.717733,4.295890],[0.015371,3.085028], [0.335070,3.448080],[0.040486,3.167440],[0.212575,3.364266],[0.617218,3.993482],[0.541196,3.891471] ] #生成X和y矩阵 dataMat = np.array(data) X = dataMat[:,0:1] # 变量x y = dataMat[:,1] #变量y # ========线性回归======== model = LinearRegression(copy_X=True, fit_intercept=True, n_jobs=1, normalize=False) model.fit(X, y) # 线性回归建模 print(‘系数矩阵:\n‘,model.coef_) print(‘线性回归模型:\n‘,model) # 使用模型预测 predicted = model.predict(X) plt.scatter(X, y, marker=‘x‘) plt.plot(X, predicted,c=‘r‘) plt.xlabel("x") plt.ylabel("y")
输出结果:
系数矩阵:
[ 1.6314263]
线性回归模型:
LinearRegression(copy_X=True, fit_intercept=True, n_jobs=1, normalize=False)

原文:https://www.cnblogs.com/lsm-boke/p/11746274.html