机器学习简介:
特征向量
目标函数
机器学习分类:
有监督学习:分类问题(如人脸识别、字符识别、语音识别)、回归问题
无监督学习:聚类问题、数据降维
强化学习:根据当前状态预测下一个状态,回报最大化,回报具有延迟性,如无人驾驶、下围棋
深度学习数学知识:微积分、线性代数、概率论、最优化方法
一元函数微积分:
一元函数的泰勒展开:多项式近似代替函数
一定是在某一点附近做泰勒展开的
一元微分学:导数、泰勒展开、极值叛变法则。
多元函数微积分:
偏导数:其他变量当做常量,对其中一个变量求导数。
高阶偏导数:一般情况下,混合二阶偏导数与求导次序无关。
梯度:多元函数对各自变量的一阶偏导数构成的向量。
多元函数的泰勒展开
线性代数:
向量:n维空间的一个点。数学常为列向量,而在编程中常为行向量(按行优先存储)
向量的运算:加法、数乘、减法、内积、转置、向量的范数(将向量映射成一个非负的实数)
向量的范数:L-p范数分量绝对值的p次方求和再开p次方。L1范数:分量绝对值求和。L2范数:向量的长度/模。
矩阵:就是二维数组。矩阵的逆;矩阵的特征值;矩阵的二次型。
张量:相当于编程语言中的多维数组,n阶张量。
矩阵是2阶张量,向量是1阶张量。例如RGB彩色图像就是3阶张量。
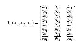
雅克比矩阵:为所有因变量对所有自变量的偏导数构成的矩阵,雅克比矩阵的每一行为一个多元函数的梯度。

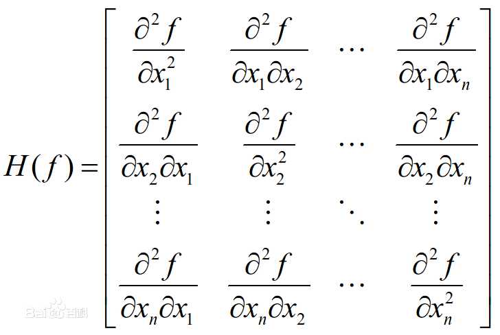
Hessian矩阵:多元函数的二阶偏导数构成的矩阵,是一个对称矩阵,相当于一元函数的二阶导数。

多元函数的极值判别法则:Hessian矩阵作用相当于f‘‘(x)
如果Hessian矩阵正定,函数在该点有极小值;如果Hessian矩阵负定,函数在该点有极大值;如果Hessian矩阵不定,则为鞍点,不是极值点。
矩阵正定的定义:x[T]Ax>0
矩阵正定的判别法则:矩阵的特征值全大于0,矩阵的所有顺序主子式都大于0,矩阵合同于单位阵。
矩阵与向量求导:
wTx对x的梯度=w
xTAx对x的梯度=(A+AT)x
xTAx对x的Hessian算子(Hessian矩阵)=A+AT
概率论:
随机事件,随机事件的概率
条件概率:
p(a,b)=p(b|a)*p(a) p(a,b)=p(a|b)*p(b) =>p(b|a)*p(a)=p(a|b)*p(b)
贝叶斯公式:
将上式两边除以p(b)得到:p(a|b)=p(a)*p(b|a)/p(b) 将a看做因,将b看做果,那么p(b|a)称为先验概率,p(a|b)称为后验概率,贝叶斯公式就是建立在先验概率和后验概率之间的关系。
随机事件的独立性p(a,b,c)=p(a)p(b)p(c)
随机变量:
随机事件量化后的一个变量,取每个值关联一个概率值的变量。
离散型随机变量:
取值只有有限种情况,或者无限种可列情况(如0到正无穷的所有整数为无限可列,而0到1的所有实数为无限不可列)。描述离散型随机变量的概率分布:p(x=xi)≥0,∑p(x=xi)=1.
连续型随机变量:
取值为无限不可列种情况,即一个区间内的实数。描述连续型随机变量的是概率密度函数和分布函数,概率密度函数要满足:f(x)≥0,∫f(x)dx=1;分布函数定义为F(y)=p(x≤y)=∫f(x)dx
原文:https://www.cnblogs.com/wisir/p/11616029.html