1.协同过滤算法概述
   推荐系统应用数据分析技术,找出用户最可能喜欢的东西推荐给用户,现在很多电子商务网站都有这个应用。目前用的比较多、比较成熟的推荐算法是协同过滤(Collaborative Filtering,简称CF)推荐算法,CF的基本思想是根据用户之前的喜好以及其他兴趣相近的用户的选择来给用户推荐物品。下图为协同过滤的步骤:
2.Item-based算法
本文主要介绍Item-based的算法。
1. 相似度计算
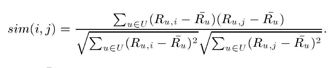
其中分子为两个向量的内积,即两个向量相同位置的数字相乘
(1)基于余弦(Cosine-based)的相似度计算,通过计算两个向量之间的夹角余弦值来计算物品之间的相似性,公式如下:
   
 其中 表示用户u对物品i的打分,
表示用户u对物品i的打分, 表示第i个物品打分的平均值。
表示第i个物品打分的平均值。
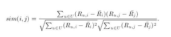
(2)调整的余弦(Adjusted Cosine)相似度计算,由于基于余弦的相似度计算没有考虑不同用户的打分情况,可能有的用户偏向于给高分,而有的用户偏向于给低分,该方法通过减去用户打分的平均值消除不同用户打分习惯的影 响,公式如下:
    其中
其中 表示用户u打分的平均值。
表示用户u打分的平均值。
原文:https://www.cnblogs.com/hanxuexi/p/11614057.html