首页 > 其他 > 详细

吴恩达机器学习_57线性回归的正则化

时间:2019-09-25 17:55:39      阅读:117      评论:0      收藏:0      [点我收藏+]

对于线性回归,我们已经推导了两种算法:(1)基于梯度下降(2)基于正规方程

 

技术分享图片

 

 

 (1)将梯度下降法运用到线性回归正则化

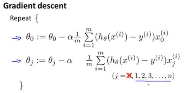
常规的梯度下降法(将θ_0分离出来,因为之后对梯度下降法进行修改时会对θ_0区别对待):

技术分享图片

 

 用正则化对梯度下降法进行修改:

技术分享图片

 

 每次迭代时,都将θ_j乘以一个比1略小的数,然后进行和之前一样的操作 ,从而达到对代价函数的梯度下降

 

(2)将正规方程法运用到线性回归正则化

技术分享图片

 

吴恩达机器学习_57线性回归的正则化

原文:https://www.cnblogs.com/vzyk/p/11585624.html

(0)
(0)
   
举报
评论 一句话评论(0
关于我们 - 联系我们 - 留言反馈 - 联系我们:wmxa8@hotmail.com
© 2014 bubuko.com 版权所有
打开技术之扣,分享程序人生!