思想:怎么样在当前模型再加入一个基础模型,使得组合后的效果更好。
问题:是否会玩电脑游戏?


如何得到最优解:
集成算法的表示:
基础模型:决策树模型
并行构造多棵树?没那么简单,一个一个的加!

??问题:每一轮加入一个什么样的基础模型呢?
??解决方案:加了它能优化我的目标函数

树模型结构
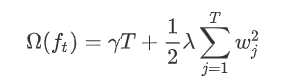
叶子子数限制
权重正则化



要保证预测值和真实值之间的差异值最小(ml基本思想)
要让树模型更精简(存在树的惩罚项)

1.使用泰勒展开式近似代替


2.将样本遍历改为节点遍历


3.化简目标函数


4.求导求最值:


类似于决策树中的信息增益,我们使用结构分数增益来确定划分:
对于每次扩展,我们还是要枚举所有可能的分割方案,如何高效的枚举所有的分割:
要枚举所有x<a 这样的条件,对于某个的分割a我们要计算左边和右边的导数和。

from xgboost import XGBRegressor import numpy as np from sklearn.datasets import load_breast_cancer can = load_breast_cancer() X = can.data Y = can.target model = XGBRegressor() model.fit(X, Y) print(model.score(X,Y)) #0.9896016265482058
原文:https://www.cnblogs.com/TimVerion/p/11326332.html