目录
标签: 算法 机器学习
先再回顾一下监督学习算法预测房价的例子

下面给定一些符号来描述训练集

m表示训练样本的数目,x表示输入的参数,y表示输出的参数,(x,y)表示一组训练样本,(x(i),y(i))则用来表示特定的训练样本。

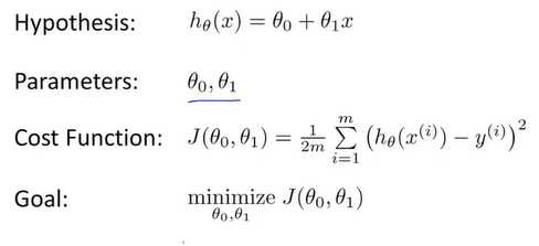
训练集通过学习算法来得到一个假设函数h,通过这个假设函数h我们可以通过输入房子的占地面积来得到房子的售价,从而拟合出一条一次直线,这个算法又叫线性回归算法

接下来讨论如何确定参数(parameter)θ0和θ1


代价函数:J(θ0,θ1)=1/2m*∑mi=1(hθ(x(i))-y(i))

现在先让θ0取0 ,那么假设函数就是一条经过原点的直线,代价函数的形式则就是为了求J(θ1)的最小值

从图中可以得知,当θ取不同的值时,假设函数对应着不同的直线,代价函数则取到不同的值,当θ=1时代价函数取值为0,表示拟合的程度最好。

这一次保留假设函数里所有参数,按照同样的分析方法可得 一个三维碗装的代价函数


为了能够更加方便地在平面图上表示代价函数,我们采用等高线来表示代价函数





我们选择从0开始改变参数直到我们得到代价函数地最小值

假设图中的最高的黑点时你在所在地位置,把图中的模型想象作一座山,你在黑点环顾周围要找到最快地下山路线,于是你走了一步到了下一个黑点,这是你再反复重复上一步操作你就能走到一个局部最低地地方(局部最优解)。

图中为梯度下降算法地数学原理,α代表的是学习率,学习率越大,下山地速度越快(梯度下降越快),反之越慢。
θ0和θ1一般腰同时更新,所以在计算时先用temp值保存,再同时更新,平时人们所说地梯度下降指的是同时更新地梯度下降 。
(计算机里 := 代表地是赋值 普通的等号表示的是判断)
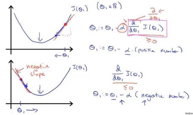
下面讲讲述变化率和微分,先用单变量地形式来讨论


从右边来看,做梯度下降算法会让θ1减小从而趋紧代价函数最小值所对应的值,相反的从左边取值的话会向右趋紧最小值
下面讨论学习率α对代价函数的影响

当学习率过小时,梯度下降的速度将会很慢,因为每次都只走一小步;但是要是学习率过大,有可能会直接越过了最低点到达另一侧,再次返回走得可能越来越大导致无法收敛。

假设已经到达的局部最优解,那此地的偏导数为0,更新变得没有用处了,所以会一直保持不变

当梯度下降时,斜率会减小,所以不需要手动减小学习率


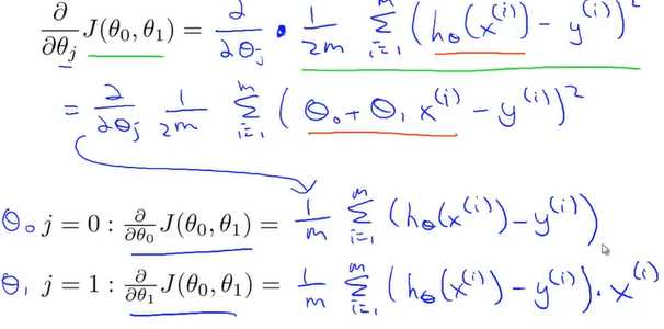
现在对代价函数求偏导,得到的值再代会梯度下降方程,得到如下方程

挑选一个初始值作为开始梯度下降的起点







通过不断地拟合,得到了一条房价和房屋大小的关系图
原文:https://www.cnblogs.com/ziyanghana/p/11073202.html