标签: 算法 机器学习
特征和多项式回归
正规方程

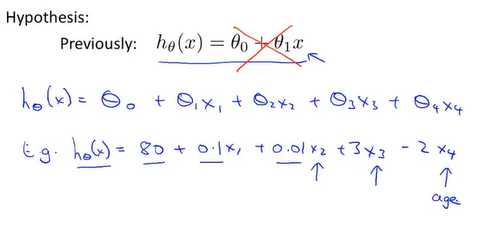
我们引入更加多的特征来对房价进行进一步评估,同时也新增一些符号来帮助表示参数。
n用来表示特征(feature)量,x(i)这是表示的就不是一个值了,而是一组向量 ,同时用xj(i)来表示向量里的具体哪一个参数

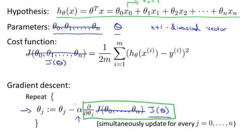
有了多个特征之后假设函数就应该将所有特征考虑进去才合适,于是就有了新的形式

上一章讲了矩阵和向量,这个时候可以学以致用了,假设函数可以写成如上形式,至于为什么θT为什么要放左边,因为行向量只能放左边,列向量只能放右边,不然不能相乘

类似的,我们也可以列出相应的代价函数


当两个特征的取值范围相差过大时,会出现如左边图一样的细长椭圆形,这样的话梯度下降会收敛地很慢,但如果在之前我们将特征进行缩放的话,可以加快梯度下降地速度,减少迭代地次数。

特征缩放到地范围接近【-1,1】即可,但最好不要像后两个例子一样

还可以用均值归一化来加快收敛,如图,将参数减去特征的平均值再除以特征地范围(最大值-最小值 或者 标准差)


为了知道代价函数是否收敛,我们可以每隔规定迭代次数进行采样绘图,当图像地线趋于平缓时代表函数收敛,从而判断梯度下降是否在正常工作

当图像呈现出以上左图两种情形时,可能是因为学习率过大了,这式可以换一个小一点地学习率。数学家已经证明只要学习率足够小,函数会一直下降,迭代次数会很多,收敛速度会很慢

在寻找合适学习率时可以尝试按10的倍数来找,找到合适的再在中间按3的倍数找,直到找到合适的学习率

在对问题进行分析时,可以现有的特征组合出新的更加易于我们分析的特征,比如将房子的长和宽相乘,得到面积特征和价格进行比较

多元线性回归如上图,当我们发现直线不能很好的拟合时,我们可以用抛物线来拟合,但抛物线会下降,所以可以用三次曲线来拟合得到一条良好的关系图,这时样本就可以是平方或立方,这时特征缩放显得尤为重要,适当的缩放能把值得范围变得又可比性


正规方程和梯度下降算法不同之处在于,梯度下降算法是J(θ)得最小值,而正规方程则是求θ,所以正规方程可以一步到最优解,但正规方程有好处有坏处,

为了求得最小值时的θ,可以对代价函数求偏导,然后全部置零解出每一个θ

如图有四个训练样本,加上一列后写成矩阵得形式,再根据左下角公式可以算出θ得值

当使用正规方程时,特征缩放便不那么重要了

梯度下降和正规方程得优缺点比较
| 梯度下降 | 正规方程 |
| 需要选择学习率 | 不需要选择学习率 |
| 需要很多次迭代 | 不需要很多次迭代 |
| 当n特征量很多时依然工作正常 | 当数据很大时求解逆矩阵会花费大量的时间 |

在octave里面求解逆有两种函数pinv和inv,pinv在逆不存在时也能给出θ得正确解

通常出现不可逆得情况有如上情况,特征始终满足乘积为定值,或者当训练集少于特征量时
原文:https://www.cnblogs.com/ziyanghana/p/11073212.html