序言:
对于小目标图像分割任务,一副图画中往往只有一两个目标,这样会加大网络训练难度,一般有三种方法解决:
1、选择合适的loss,对网络进行合理优化,关注较小的目标。
2、改变网络结构,使用attention机制。
3、类属attention机制,即先检测目标区域,裁剪后再分割训练。
场景:
现在以U-net网络为基础,使用keras进行实现小目标的分割。
Loss函数:
1、Log loss
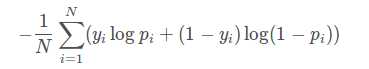
对于二分类任务,log loss如下:

其中,yi为输入实例xixi?的真实类别, pi为预测输入实例 xi属于类别 1 的概率。对所有样本的对数损失表示对每个样本的对数损失的平均值。
这个loss函数每一次梯度的回传对每一个类别具有相同的关注度,所以容易受到类别不平衡的影响。
这种情况参照airbus-ship-detection。这个任务是检测海面上的船只,整个图片中大海占幅较大,所以采用一些技巧:使用montage拼接图片,对只有大海的图片进行采样来减少图片大小。
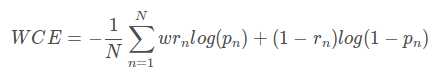
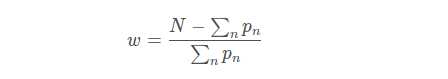
2、WCE loss(weighted cross-entropy)
带权重的交叉熵
二分类WCE:


这个loss的缺点时需要人为的调整困难样本的权重,增加调整难度。
3、Focal loss
能否使网络主动学习困难样本呢?
focal loss的提出是在目标检测领域,为了解决正负样本比例严重失调的问题。
focal函数公式:

对比上面其实就是多了 (1-pi)r 。
loss值随样本概率变大而变小。

基本思想是,对于类别极度不平衡的情况下,网络如果在log loss下会倾向只预测负样本,并且负样本的预测概率会非常高,回传的梯度也很大。
但是如果添加了上述项,则focal 函数会使预测概率大的样本的loss变小,而预测概率小的样本的loss变大,从而加强了对正样本的关注度。
from keras import backend as K ‘‘‘ Compatible with tensorflow backend ‘‘‘ def focal_loss(gamma=2., alpha=.25): def focal_loss_fixed(y_true, y_pred): pt_1 = tf.where(tf.equal(y_true, 1), y_pred, tf.ones_like(y_pred)) pt_0 = tf.where(tf.equal(y_true, 0), y_pred, tf.zeros_like(y_pred)) return -K.sum(alpha * K.pow(1. - pt_1, gamma) * K.log(pt_1))-K.sum((1-alpha) * K.pow( pt_0, gamma) * K.log(1. - pt_0)) return focal_loss_fixed
model_prn.compile(optimizer=optimizer, loss=[focal_loss(alpha=.25, gamma=2)])
使用U-net输入输出都是一张图,直接使用会导致loss值很大。而且调参alpha和gamma也麻烦。
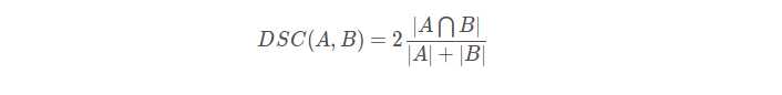
4、Dice loss
直观理解为两个轮廓的相似程度。

或则表示为:

二分类的dice loss:

def dice_coef(y_true, y_pred, smooth=1): intersection = K.sum(y_true * y_pred, axis=[1,2,3]) union = K.sum(y_true, axis=[1,2,3]) + K.sum(y_pred, axis=[1,2,3]) return K.mean( (2. * intersection + smooth) / (union + smooth), axis=0) def dice_coef_loss(y_true, y_pred): 1 - dice_coef(y_true, y_pred, smooth=1)
使用dice loss有时会不可信,原因是对于sofemax或log loss其梯度简言之是p-t ,t为目标值,p为预测值。而dice loss 为 2t2 / (p+t)2
如果p,t过小会导致梯度变化剧烈,导致训练困难。
原文:https://www.cnblogs.com/hotsnow/p/10954624.html