四元数可以看做是一个复数,所以我们先要回顾一下复数。本章的主要目标是展示一个复数P乘以一个单位复数,得到的是旋转后的P。
有很多种方法介绍复数,我们采用下面的方法,将它想象成一个2D点或者向量。
一对排序的实数z = (a, b)是一个复数。第一个部分叫实数部分,第二个部分是虚数部分。并且加减乘除定义如下:

并且很容易证明实数的算术性质对复数也依然有效(交换律,结合律,分配率)(练习1);
如果一个复数形式是(x, 0),那么它就是通过实数x定义,然后写成(x, 0);那么任何实数都可以是一个复数,其虚数部分是0;观察一个实数乘以一个复数x(a, b) = (x, 0)(a, b) = (xa, xb) = (a, b)(x, 0) = (a, b)x,这个形式可以让我们回忆起变量-向量的乘法。
我们定义单位虚数i = (0, 1),然后使用定义的复数乘法,i^2 = (0, 1)(0, 1) = (?1, 0) = ?1,所以i是方程x^2 = ?1的解。
复数z = (a, b)的复数共轭表示为,并且= (a, ?b);一个简单的记住复数除法公式的方法是:分子和分母乘以分母的共轭,这样分母就成为了一个实数:

下面展示一个复数(a, b)可以写为a + ib,我们有a = (a, 0), b = (b, 0)和i = (0, 1),所以:

使用a + ib形式,我们可以重做加减乘除:

并且在这种形式下,z = a + ib的共轭复数为a - ib。
我们将复数a + ib = (a, b)理解为几何上的2D向量或者点(在复平面);复数相加匹配到向量的相加:

复数的绝对值或者长度由向量的长度来定义:

我们将长度为1的复数称之为单位复数:

因为复数可以看做是2D复平面的点或者向量,所以我们也可以将它表示到极坐标:

后面的等式就是复数a + ib的极坐标表示。

令z1 = r1(cosθ1 + isinθ1), z2 = (cosθ2 + isinθ2),那么:

这里使用了三角定理:

所以几何上,z1z2的乘积表示长度为r1r2的向量旋转了θ1 + θ2角度;如果其中r2为1,那么乘积就表示将z1旋转了θ2角度。如上图,所以复数乘以单位复数,表示把前面的复数旋转。
四个有序实数q = (x, y, z, w) = (q1, q2, q3, q4)是一个四元数,通常简写为q = (u, w) = (x, y, z, w),并且我们称u = (x, y, z)为虚数部分,w为实数部分。那么加减乘除定义如下:

乘法的定义看起来会比较奇怪,但是这些运算是定义,所以我们可以定义为我们想要的形式,并且这些形式很有用。矩阵的乘法定义一开始也看起来很奇怪,但是结果是它们很有用。
令p = (u, p4) = (p1, p2, p3, p4)并且q = (v, q4) = (q1, q2, q3, q4),那么u × v =(p2q3 – p3q2, p3q1 – p1q3, p1q2 – p2q1)并且u·v = p1q1 + p2q2 + p3q3。那么组件形式下,四元数的乘积r = pq是:

可以写成矩阵乘法形式:

如果你偏爱行向量形式,取其转置矩阵:

令i = (1, 0, 0, 0), j = (0, 1, 0, 0), k = (0, 0, 1, 0)为四元数,那么我们有一些特殊乘积,会让我们回忆起叉积:

这些等式是直接从四元数乘积公式得来的,比如:

四元数的乘法不具备交换律,下图证明ij = ?ji。四元数乘积具有结合律;所以四元数可以联想为矩阵的乘积,具有结合律,不具有交换律。四元数e = (0, 0, 0, 1)用以乘法单位:

四元数具有乘法分配律p(q + r) = pq + pr 和 (q + r)p = qp + rp。
我们将实数、向量与四元数通过下面的方式来关联。令s是实数x,u = (x, y, z)是向量,那么:

可以说任意实数是一个有0向量的四元数,任意向量是一个具有0实数的四元数;另外单位四元数为1 = (0, 0, 0, 1);一个四元数具有0实数称之为纯四元数(pure quaternion)。
使用四元数乘法的定义,一个实数乘以四元数是标量相乘,具有交换律:


四元数q = (q1, q2, q3, q4) = (u, q4)的共轭由q定义:

也就是直接将虚数部位取反;相比于共轭复数,它具有下面特性:

其中q + q和qq* = q*q等于实数。
四元数的范数(长度),定义为:

范数为1的四元数为单位四元数,范数具有下面的特性:

特性2表示2个单位四元数相乘,依然是单位四元数;如果||p|| = 1,那么||pq|| = ||q||。
共轭和范数的特性可以直接通过定义推导出来,比如:

因为矩阵和四元数乘法不具有交换律,所以不能直接定义除法运算。但是每个非0四元数具有逆,令q = (q1, q2, q3, q4) = (u, q4)是一个非0的四元数,那么它的逆通过来定义:

很容易证明它是复数的逆:

可以看出如果q是单位四元数,那么,并且。
并且符合下面的特性:

如果q = (q1, q2, q3, q4) = (u, q4)是单位四元数,那么:


上图表示,对于θ∈[0, π],q4 = cosθ,根据三角定义sin2θ + cos2θ = 1:

所以

现在求单位向量:

所以u = sinθn,现在我们可以写出单位四元数q = (u, q4)的极坐标表达,其中n是单位向量:

如果我们将?θ带入等式中的θ,只是取反了向量部分:

下节将会介绍,n表示旋转的轴向。
令q = (u, w)是一个单位四元数并且令v是一个3D点或者向量,然后我们认为v是一个纯四元数p = (v, 0)。当q是一个单位四元数时,。回顾四元数乘法公式:

现在考虑下面的乘法:

对其长度稍作简化,我们把实数部分和向量部分分开计算。我们做下面的符号替换:

实数部分:

其中u · (v × u) = 0,因为根据叉积的定义,(v × u)是和u正交的。
虚数部分:

其中对u × (u × v)应用了乘法定义:a × (b × c) = (a · c)b ? (a · b)c。所以:

计算的结果是一个向量或者点,其实数部分为0。所以随后的等式中,我们放弃实数部分。
因为q是一个单位四元数,所以可以写为:

带入上面公式后:

为了进一步简化,我们带入三角定义:

对比第三章的旋转公式,我们发现它和旋转公式基本一致,它将向量v沿着n轴旋转2θ度。

所以我们定义四元数旋转运算:

所以如果你要沿着n轴旋转θ度,那么你可以构建对于的旋转四元数:

然后应用到旋转公式中。
令q = (u, w) = (q1, q2, q3, q4)是一个单位四元数,根据之前的公式,可以得到:

上面公式的三个部分可以分别写出矩阵形式:

将它们相加:

根据单位四元数的特性(各分组件平方的和为1),做下面的简化:

最后矩阵可以写为:

给出一个旋转矩阵:

我们希望找到四元数q = (q1, q2, q3, q4),我们的策略是,设置矩阵如下:

然后求解q1, q2, q3, q4;
首先将对角线上的元素相加(最终一个矩阵):

然后组合对角相反的元素来求解q1, q2, q3:

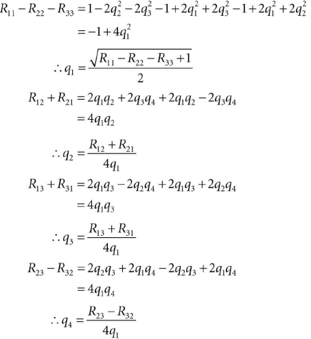
如果q4 = 0,那上面这些公式就无意义,所以我们要找到R的最大对角元素来除,并且选择矩阵元素的其他组合。加入R11是最大的对角:

如果假设R22 或者 R33为最大对角线,计算模式类似。
假设p和q是单位四元数,并且对于旋转运算为Rp 和 Rq,令,那么组合:

因为p和q都是单位四元数,pq的乘积也是单位四元数||pq|| = ||p||||q|| = 1;所以pq也表示旋转;也就是说说得到的旋转为:。
因为四元数是由4个实数组成的,所以几何上,可以把它看成是一个4D向量,单位四元数是4D在单位4D球体表面,除了叉积(只定义了3D向量)。特别的,点积也支持四元数,令p = (u, s)并且q = (v, t),那么:

其中θ是两个四元数之间的夹角,如果p和q是单位四元数,那么p·q = cosθ,所以点积可以帮助我们考虑2个四元数之间的夹角。
出于动画考虑,我们需要在两个方向之间进行插值,为了插值四元数,我们需要在单位球体上进行弧度差值,所以也需要在单位四元数上差值。为何推导出公式,如下图所示:我们需要在a和b中间差值tθ。我们需要找到权重c1和c2支持p = c1a + c2b,其中||p|| = ||a|| = ||b||。我们对两个未知项创建两个等式:


然后可以导出下面的矩阵:

考虑到上面的矩阵等式Ax = b,其中A是可逆的,所以根据克莱姆法则,其中是通过交换A中第i列的向量到b,所以:

根据三角毕达哥斯拉定义和加法公式,我们可以得出:

所以:

并且:

所以我们定义出球体差值公式:

如果将单位四元数看成4D向量的话,我们就可以求解四元数之间的夹角:θ = arccos(a · b)。
如果a和b之间的夹角趋近于0,sinθ趋近于0,那么上面公式中的除法就会引发问题,会导致无限大的结果。这种情况下,对两个四元数进行线性差值,并标准化结果,就是对小θ的一个很好的近似:

观察下图,线性差值是通过将四元数差值投影回单位球体,其结果是一个非线性速率的旋转。所以如果你对大角度使用线性差值的话,旋转的速度会时快时慢。

我们现在支持一个四元数有趣的特性,(sq)= sq并且标量-四元数的乘积是具有交换律的,所以我们可以得出:

我们得出q和-q表示的相同的旋转,也可以通过其他方式来证明,如果


Rq表示围绕n旋转θ,R-q表示围绕-n旋转2π ? θ。在几何上,一个在4D单位球体上的单位四元数和它的极坐标相反值?q代表的是相同的方向。下图可以看出,这两个旋转到了相同的位置,只是一个旋转了小角度,另一个旋转了大的角度:

所以b和-b表达了相同的方向,我们有2个选择来差值:slerp(a, b, t) 或者 slerp(a, ?b, t)。其中一个是从更小的角度直接旋转;另一个是从更大的角度来旋转。如下图所示,选择哪个旋转基于哪个旋转在单位球体上的弧度:选择小弧度代表选择了更直接的路径,选择更长的弧度代表对物体有额外更多的旋转[Eberly01]。
[Watt92]如果要在单位球面上找到四元数最短旋转弧度,我们可以比较||a – b||2和||a – (?b)||2 = ||a + b||2。如果 ||a + b||2 < ||a – b||2我们就选择-b,因为-b更接近a:

// Linear interpolation (for small theta).
public static Quaternion LerpAndNormalize(Quaternion p, Quaternion q, float s)
{
	// Normalize to make sure it is a unit quaternion.
	return Normalize((1.0f - s)*p + s*q);
}
public static Quaternion Slerp(Quaternion p, Quaternion q, float s)
{
	// Recall that q and -q represent the same orientation, but
	// interpolating between the two is different: One will take the
	// shortest arc and one will take the long arc. To find
	// the shortest arc, compare the magnitude of p-q with the
	// magnitude p-(-q) = p+q.
	if(LengthSq(p-q) > LengthSq(p+q))
		q = -q;
		
	float cosPhi = DotP(p, q);
	
	// For very small angles, use linear interpolation.
	if(cosPhi > (1.0f - 0.001))
		return LerpAndNormalize(p, q, s);
		
	// Find the angle between the two quaternions.
	float phi = (float)Math.Acos(cosPhi);
	float sinPhi = (float)Math.Sin(phi);
	
	// Interpolate along the arc formed by the intersection of the 4D
	// unit sphere and the plane passing through p, q, and the origin of
	// the unit sphere.
	return ((float)Math.Sin(phi*(1.0- s))/sinPhi)*p + ((float)Math.Sin(phi*s)/sinPhi)*q;
}
DirectX数学库支持四元数。因为四元数的数据是4个实数,所以使用XMVECTOR类型类保存四元数。下面是通用的函数:
// Returns the quaternion dot product Q1·Q2.
XMVECTOR XMQuaternionDot(XMVECTOR Q1, XMVECTOR Q2);
// Returns the identity quaternion (0, 0, 0, 1).
XMVECTOR XMQuaternionIdentity();
// Returns the conjugate of the quaternion Q.
XMVECTOR XMQuaternionConjugate(XMVECTOR Q);
// Returns the norm of the quaternion Q.
XMVECTOR XMQuaternionLength(XMVECTOR Q);
// Normalizes a quaternion by treating it as a 4D vector.
XMVECTOR XMQuaternionNormalize(XMVECTOR Q);
// Computes the quaternion product Q1Q2.
XMVECTOR XMQuaternionMultiply(XMVECTOR Q1, XMVECTOR Q2);
// Returns a quaternions from axis-angle rotation representation.
XMVECTOR XMQuaternionRotationAxis(XMVECTOR Axis, FLOAT Angle);
// Returns a quaternions from axis-angle rotation representation, where the axis
// vector is normalized—this is faster than XMQuaternionRotationAxis.
XMVECTOR XMQuaternionRotationNormal(XMVECTOR NormalAxis,FLOAT Angle);
// Returns a quaternion from a rotation matrix.
XMVECTOR XMQuaternionRotationMatrix(XMMATRIX M);
// Returns a rotation matrix from a unit quaternion.
XMMATRIX XMMatrixRotationQuaternion(XMVECTOR Quaternion);
// Extracts the axis and angle rotation representation from the quaternion Q.
VOID XMQuaternionToAxisAngle(XMVECTOR *pAxis, FLOAT *pAngle, XMVECTOR Q);
// Returns slerp(Q1, Q2, t)
XMVECTOR XMQuaternionSlerp(XMVECTOR Q0, XMVECTOR Q1, FLOAT t);
本章中的Demo,我们在简单的场景中运动一个骷髅头。位置、方形和缩放都做动画。我们用四元数来表达骷髅的方向,然后使用球面差值来对方向差值。使用线性差值对位置和缩放差值。它是对下一章中的角色动画做预热。
我们使用关键帧系统对骷髅做动画:
struct Keyframe
{
	Keyframe();
	?Keyframe();
	float TimePos;
	XMFLOAT3 Translation;
	XMFLOAT3 Scale;
	XMFLOAT4 RotationQuat;
};
动画是一些列通过实践来排序的关键帧:
struct BoneAnimation
{
	float GetStartTime()const;
	float GetEndTime()const;
	void Interpolate(float t, XMFLOAT4X4& M)const;
	std::vector<Keyframe> Keyframes;
};
GetStartTime函数用来返回第一个帧的时间;GetEndTime函数返回最后一个关键帧的时间。它对于动画什么时候结束很有用,我们可以停止动画。
现在有了一个关键帧列表,对于每两个帧之间使用插值计算:
void BoneAnimation::Interpolate(float t, XMFLOAT4X4& M)const
{
	// t is before the animation started, so just return the first key frame.
	if( t <= Keyframes.front().TimePos )
	{
		XMVECTOR S = XMLoadFloat3(&Keyframes.front().Scale);
		XMVECTOR P = XMLoadFloat3(&Keyframes.front().Translation);
		XMVECTOR Q = XMLoadFloat4(&Keyframes.front().RotationQuat);
		XMVECTOR zero = XMVectorSet(0.0f, 0.0f, 0.0f, 1.0f);
		XMStoreFloat4x4(&M, XMMatrixAffineTransformation(S, zero, Q, P));
	}
	
	// t is after the animation ended, so just return the last key frame.
	else if( t >= Keyframes.back().TimePos )
	{
		XMVECTOR S = XMLoadFloat3(&Keyframes.back().Scale);
		XMVECTOR P = XMLoadFloat3(&Keyframes.back().Translation);
		XMVECTOR Q = XMLoadFloat4(&Keyframes.back().RotationQuat);
		XMVECTOR zero = XMVectorSet(0.0f, 0.0f, 0.0f, 1.0f);
		XMStoreFloat4x4(&M, XMMatrixAffineTransformation(S, zero, Q, P));
	}
	
	// t is between two key frames, so interpolate.
	else
	{
		for(UINT i = 0; i < Keyframes.size()-1; ++i)
		{
			if( t >= Keyframes[i].TimePos && t <= Keyframes[i+1].TimePos )
			{
				float lerpPercent = (t - Keyframes[i].TimePos) /
					(Keyframes[i+1].TimePos - Keyframes[i].TimePos);
					
				XMVECTOR s0 = XMLoadFloat3(&Keyframes[i].Scale);
				XMVECTOR s1 = XMLoadFloat3(&Keyframes[i+1].Scale);
				XMVECTOR p0 = XMLoadFloat3(&Keyframes[i].Translation);
				XMVECTOR p1 = XMLoadFloat3(&Keyframes[i+1].Translation);
				XMVECTOR q0 = XMLoadFloat4(&Keyframes[i].RotationQuat);
				XMVECTOR q1 = XMLoadFloat4(&Keyframes[i+1].RotationQuat);
				XMVECTOR S = XMVectorLerp(s0, s1, lerpPercent);
				XMVECTOR P = XMVectorLerp(p0, p1, lerpPercent);
				XMVECTOR Q = XMQuaternionSlerp(q0, q1, lerpPercent);
				XMVECTOR zero = XMVectorSet(0.0f, 0.0f, 0.0f, 1.0f);
				XMStoreFloat4x4(&M, XMMatrixAffineTransformation(S, zero, Q, P));
				
				break;
			}
		}
	}
下图展示了两个关键帧之间插值的结果:

插值过后,我们构造了变换的矩阵,因为在着色器中我们最终使用矩阵做变换。XMMatrixAffineTransformation函数定义如下:
XMMATRIX XMMatrixAffineTransformation(
	XMVECTOR Scaling,
	XMVECTOR RotationOrigin,
	XMVECTOR RotationQuaternion,
	XMVECTOR Translation);
现在我们简单的动画系统已经完成,下一步是定义一些关键帧:
// Member data
float mAnimTimePos = 0.0f;
BoneAnimation mSkullAnimation;
//
// In constructor, define the animation keyframes
//
void QuatApp::DefineSkullAnimation()
{
	//
	// Define the animation keyframes
	//
	XMVECTOR q0 = XMQuaternionRotationAxis(XMVectorSet(0.0f, 1.0f, 0.0f, 0.0f),
		XMConvertToRadians(30.0f));
	XMVECTOR q1 = XMQuaternionRotationAxis(XMVectorSet(1.0f, 1.0f, 2.0f, 0.0f),
		XMConvertToRadians(45.0f));
	XMVECTOR q2 = XMQuaternionRotationAxis(XMVectorSet(0.0f, 1.0f, 0.0f, 0.0f),
		XMConvertToRadians(-30.0f));
	XMVECTOR q3 = XMQuaternionRotationAxis(XMVectorSet(1.0f, 0.0f, 0.0f, 0.0f),
		XMConvertToRadians(70.0f));
		
	mSkullAnimation.Keyframes.resize(5);
	mSkullAnimation.Keyframes[0].TimePos = 0.0f;
	mSkullAnimation.Keyframes[0].Translation = XMFLOAT3(-0.0f, 0.0f);
	mSkullAnimation.Keyframes[0].Scale = XMFLOAT3(0.25f, 0.25f, 0.25f);
	XMStoreFloat4(&mSkullAnimation.Keyframes[0].RotationQuat, q0);
	
	mSkullAnimation.Keyframes[1].TimePos = 2.0f;
	mSkullAnimation.Keyframes[1].Translation = XMFLOAT3(0.0f, 2.0f, 10.0f);
	mSkullAnimation.Keyframes[1].Scale = XMFLOAT3(0.5f, 0.5f, 0.5f);
	XMStoreFloat4(&mSkullAnimation.Keyframes[1].RotationQuat, q1);
	
	mSkullAnimation.Keyframes[2].TimePos = 4.0f;
	mSkullAnimation.Keyframes[2].Translation = XMFLOAT3(7.0f, 0.0f, 0.0f);
	mSkullAnimation.Keyframes[2].Scale = XMFLOAT3(0.25f, 0.25f, 0.25f);
	XMStoreFloat4(&mSkullAnimation.Keyframes[2].RotationQuat, q2);
	
	mSkullAnimation.Keyframes[3].TimePos = 6.0f;
	mSkullAnimation.Keyframes[3].Translation = XMFLOAT3(0.0f, 1.0f, -10.0f);
	mSkullAnimation.Keyframes[3].Scale = XMFLOAT3(0.5f, 0.5f, 0.5f);
	XMStoreFloat4(&mSkullAnimation.Keyframes[3].RotationQuat, q3);
	
	mSkullAnimation.Keyframes[4].TimePos = 8.0f;
	mSkullAnimation.Keyframes[4].Translation = XMFLOAT3(-0.0f, 0.0f);
	mSkullAnimation.Keyframes[4].Scale = XMFLOAT3(0.25f, 0.25f, 0.25f);
	XMStoreFloat4(&mSkullAnimation.Keyframes[4].RotationQuat, q0);
}

最后一步使根据时间进行插值操作:
void QuatApp::UpdateScene(float dt)
{
	…
	// Increase the time position.
	mAnimTimePos += dt;
	
	if(mAnimTimePos >= mSkullAnimation.GetEndTime())
	{
		// Loop animation back to beginning.
		mAnimTimePos = 0.0f;
	}
	
	// Get the skull’s world matrix at this time instant.
	mSkullAnimation.Interpolate(mAnimTimePos, mSkullWorld);
	…
}
现在骷髅的世界矩阵每一帧都根据动画来更新。
一个有序的4个实时q = (x, y, z, w) = (q1, q2, q3, q4)是一个四元数,一般都简写成q = (u, w) = (x, y, z, w),并且我们将u = (x, y, z)称为虚向量部分,w为实数部分,进一步它的加减乘除定义为:

四元数乘法不满足交换律,但是满足结合律,四元数e = (0, 0, 0, 1)用以恒等式。四元数支持乘法分配律p(q + r) = pq + pr和(q + r)p = qp + rp;
我们可以将任意实数写成四元数s = (0, 0, 0, s),也可以将任意向量转换成四元数u = (u, 0)。实数部分为0的四元数为纯四元数。四元数可以和标量相乘:s(p1, p2, p3, p4) = (sp1, sp2, sp3, sp4) = (p1, p2, p3, p4)s,特殊的地方在于标量和四元数的乘法支持交换律;
共轭四元数和四元数范式的定义;
逆四元数的定义和计算;
单位四元数可以写成极向量表达q = (u, q4),其中n是单位向量;
如果q是一个单位四元数,那么q = (sinθn,cosθ) for ||n|| = 1 and θ ∈ [0, π],旋转运算为表示将点/向量围绕n旋转2θ。Rq有矩阵表达,任何旋转矩阵都可以转换成四元数用来表达旋转;
我们可以使用球面插值来对两个用单位四元数表示的方向进行插值。
Introduction to 3D Game Programming with DirectX 12 学习笔记之 --- 第二十二章:四元数(QUATERNIONS)
原文:https://www.cnblogs.com/lonelyxmas/p/10817287.html