1、用for语句实现循环
2、用while循环语句实现循环
3、用do_while语句实现循环
4、用while语句和for语句配合实现循环
5、用for语句嵌套实现循环
掌握for语句实现循环的方法。
循环嵌套的使用
掌握while语句实现循环的方法;
掌握do while语句实现循环的方法。
掌握while语句和for语句的配合实现循环的方法。
掌握for语句嵌套实现循环的方法。
掌握continue语句的用法。
1.问题描述:编写一程序,求出1,1+2,1+2+3……数列中前n项的值。
程序流程图如下图所示:

#include <stdio.h> #include <conio.h> main() { int i,j=0,k,s=0; printf("Enter a number:"); scanf("%d",&k); for(i=1;i<=k;i++) { s=i+s; printf("%d",s); j++; } }
分析:无问题

2.问题描述:编写一程序,求数列1,-3!,5!,-7!···(-1)^n-1(2n-1)!前n项的和。n的值是由键盘输入。
程序流程图如下图所示:

实验代码:
#include <stdio.h>
main()
{
int n,i,j,sign=1;
float fac,sum;
printf("Please input value od n:");
scanf("%d",&n);
sum=0.0;
for(i=1;i<=n;i++)
{
fac=1.0;
for(j=1;j<=2*i-1;j++)
{
fac=fac*j;
}
fac=fac*sign;
sum=sum+fac;
sign=-sign;
}
printf("sum=%.0f\n",sum);
}

3.问题描述:从键盘上输入若干个学生的成绩,统计并输出最高成绩和最低成绩,当输入负数时结束输入。
程序流程图如下:

实验代码:
#include<conio.h>
#include<stdio.h>
main()
{
float x,max,min;
printf("please input scorse:");
scanf("%f",&x);
max=min=x;
while(x>0)
{
if (x>max)
max=x;
if (x<min)
min=x;
scanf("%f",&x);
}
printf("\nmax=%f\nmin=%f\n",max,min);
}
运行

问题分析:一开始因为第二个if前面加了一个else,结果运行出来的只有最小值,现已无问题。
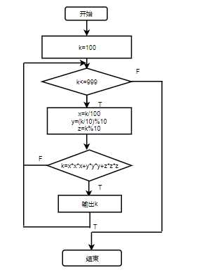
4.问题描述:求所有的水仙花数(水仙花数是一个3位数的自然数,该数个位的立方和等于该数本身,如153为水仙花数1^3+5^3+3^3=153)。
程序流程图所示:

实验代码:
main()
{
int x,y,z;
int k=100;
while(k<=999)
{
x=k/100;
y=(k/10)%10;
z=k%10;
if(k==x*x*x+y*y*y+z*z*z)
printf("%d\n",k);
k++;
}
}
运行结果:

问题分析:现无问题。

实验代码:
#include <stdio.h>
main()
{
float sum,value;
int n;
printf("Input value:");
scanf("%f",&value);
sum=0.0;
n=0;
do
{
++n;
sum+=1.0/(float)n;
}
while(sum<value);
printf("n=%d",n);
}
运行结果:

问题分析:程序接受的是不等式右边的数值,而且条件要sum要大于value.

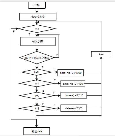
实验代码:
#include <stdio.h>
main()
{
char c;
int k,data;
data=0;
for(k=0;k<4;k++)
{
while(1)
{
c=getchar();
if (c>=‘0‘&&c<=‘9‘)
break;
}
if(k==0)
data+=(c-‘0‘)*1000;
else if(k==1)
data+=(c-‘0‘)*100;
else if(k==2)
data+=(c-‘0‘)*10;
else if(k==3)
data+=(c-‘0‘)*1;
}
printf("Data=%d",data);

问题分析:本题利用if语句进行判断,如果不是字符则继续接收,否则跳出本次循环来把输入的数字转化为相应的十进制整数输出。要掌握好嵌套。

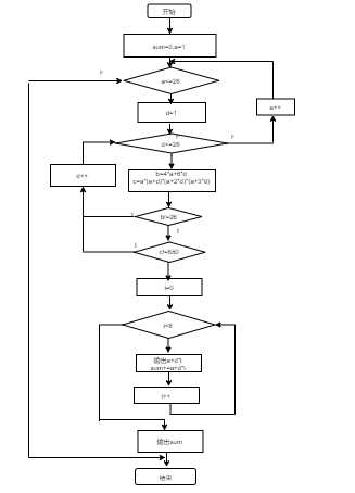
实验代码:
main()
{
int m,n,k;
int sum=0;
printf("各种驮法如下:\n");
for(m=1;m<=100;m++)
for(n=1;n<=100-m;n++) {
k=100-m-n;
if((k%2==0)&&(3*m+2*n+0.5*k==100))
{
printf("大马%3d匹;中马%3d匹;小马%3d匹。\n",m,n,k);
sum++;
}
}
printf("共有%d种驮法。\n",sum);
}
运行结果:

问题分析:主要是函数的问题,其他问题不大。

实验代码:
#include <stdio.h>
main()
{
int a,b,c,d,i,sum=0;
for(a=1;a<=26;a++)
for(d=1;d<=26;d++)
{
b=4*a+6*d;
if(b!=26)
continue;
else
{
c=a*(a+d)*(a+2*d)*(a+3*d);
if(c!=880)
continue;
else
for(i=0;i<6;i++)
{
printf("%d,",a+i*d);
sum=sum+(a+i*d);
}
}
}
printf("\n数列的前6项的和:%d\n",sum);
}
运行结果:

问题分析:还是函数问题。

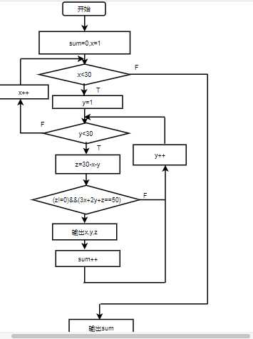
实验代码
#include <stdio.h>
main()
{
int x,y,z,sum;
sum;
for(x=1;x<30;x++)
{
for(y=1;y<30;y++)
{
z=30-x-y;
if((z!=0)&&(3*x+2*y+z==50))
{printf("大学生%3d\t中学生%3d\t小学生%3d\n",x,y,z);
sum=sum+1;
}
else
continue;
}
}
printf("sum=sum=%d\n",sum);
}
运行结果:

问题分析:和百马百担问题一样。
原文:https://www.cnblogs.com/zsflhm/p/10760009.html