首页 > 移动平台 > 详细

移动平均

时间:2014-02-14 22:11:22      阅读:834      评论:0      收藏:0      [点我收藏+]

本文内容

  • 概述
  • 简单移动平均
  • 加权移动平均
  • 指数移动平均
  • 示例——移动平均在股票分析
  • 参考资料

 

概述


移动平均(Moving Average,MA),又称“移动平均线”,简称均线,是技术分析中一种分析时间序列数据,最简单、最常用的分析工具之一,如股价、回报或交易量等,抚平短期波动,反映长期趋势或周期,在变化无常的市场中能发挥特别的作用。移动平均线也是其它许多技术指标的基石。

简单移动平均线


简单移动平均线(Simple Moving Average,SMA),是某变量之前 n 个数值的未作加权的算术平均。

若计算股价的10日 SMA ,是指“之前10日”收市价的平均值。假设,收市价为 p=(p1,  p2,  p3,  p4,  p5,  p6,  p7,  p8,  p9,  p10),则 SMA 为:

bubuko.com,布布扣

当是连续数值时,加入一个新值,同时剔除一个旧值:

bubuko.com,布布扣

推广到一般情况为:

bubuko.com,布布扣

加权移动平均


加权移动平均(Weighted Moving Average,WMA),是指计算平均值时将个别数据乘以不同数值(权重)。WMA 是线性的。

若计算 n 日 WMA,假设,收市价为 p= (p1, p2, … , pn, pn+1, … , pm, …),则为若干天的收市价及依倒数顺序递减一的不同比例,来加权计算的移动平均线,即:

bubuko.com,布布扣

指数移动平均


指数移动平均(Exponential Moving Average,EMA),是指以指数递减加权的移动平均。各数值的加权影响随时间而以指数递减,越近的数据加权影响力越重,但较旧的数据也给予一定的加权值。EMA 是非线性的。

首先,加权。加权的程度取决于常数 αα 可用天数 N 来表示:

bubuko.com,布布扣

N19 天,则 α=0.1

然后,假设,今日 t1 股价为 p,则今日 t1 的 EMA 为:

bubuko.com,布布扣

即用“前一个 EMA 值”跟 α 和当前股价,来计算“下一个 EMA 值”。其中,可以将简单移动平均(SMA)作为初始值 EMAt0

另外,若将上式反复迭代拆开后,EMA 为:

bubuko.com,布布扣

这是一个无穷级数。当有足够多的项,分母的值趋于 1/α,上式可以变成为,

bubuko.com,布布扣

由于 1-α<1,分子的各项数值会越来越小,可以忽略。若忽略 k 项及之后的项,则,

bubuko.com,布布扣

所以,若要包含 99.9% 的加权,

bubuko.com,布布扣

N 不断增加时,

bubuko.com,布布扣

解得 K

bubuko.com,布布扣

技术分析中,较为普遍的 10 日、40 日、200 日 的 MA,视分析时期长短而定。投资者从 MA 图表中分辨出支持位或阻力位。

示例——移动平均在股票分析


很多技术分析家认为,不能将以往若干天的收市价对后市的启示作用等量齐观,应该是越新的收市价对后市的启示作用越大,越旧的收市价对后市的启示作用越少。因此,在 SMA 基础上,发展出后 WMA 和 EMA 。这两种移动优于 SMA。SMA 不能迅速反映市场价格的急剧波动,信号较慢,但各种 MA 对大趋势提供的信息还是较为准确的。

下面利用柯达公司的股价(Eastman Kodak,EK)演示最常见的两种移动平均:简单移动平均线(SMA)和指数移动平均线(EMA)。

柯达公司股价的简单移动平均线(SMA)

例如,有如下表所示的柯达公式股价,计算 10 日 SMA。

表 1 柯达股价的“10 日 SMA”值

bubuko.com,布布扣

表 1 左边的数据跟后面计算 EMA 时的数据有一个不一致、错误的地方,将第 6 行“58.88”改成“59.88”,下面按一致的、正确的计算 SMA。

如下所示:

bubuko.com,布布扣

bubuko.com,布布扣

图 1 柯达股价的“10 日 SMA”线

图 1 柯达股价的 SMA,红色是实际值,蓝色是简单移动平均值。EK股价的趋势是向下的,但依据过去10日建立的SMA,却始终高于当前股价。否则,若价格处于上涨趋势,则SMA基本会低于当前股价。由于简单移动平均值是滞后指标,因此它们属于趋势跟随指标。如果价格的趋势明显,移动平均线会发挥很好的作用。不过,当价格的趋势不明显时,移动平均线可能会给出误导的错误信号。

因此,SMA一个突出的事实,是所有的移动平均值都是滞后的,永远走在当前价格的后面。

柯达公司股价的指数移动平均线(EMA)

为了缩小 SMA 的滞后性,技术分析家于是采用 EMA 线。EMA 线是通过增大最近时间价格相对较远时间价格的权重,减缓 SMA 线的滞后性。对最近时间价格的加权值取决于移动平均值所采用的时间段。例如,10 日 EMA 将最近时间的加权值定为 18.18%,而 20 日 EMA 将加权值定为 9.52%。EMA 比 SMA 的计算要复杂。不过,只要明白 EMA 的计算是把最近时间的价格权重定得比较远时间价格的权重高就行。

EMA 有两种表达方式:基于百分比的和基于周期的。对于基于周期的 EMA,加权 α=2 / ( N + 1),N 为周期内的时间数量(Time periods)。若计算 10 日 EMA,则 N=10;20 日,则 N=20。下面还是根据表 2,计算柯达公司股价的“10 日 EMA”。

表 2 柯达公司股价的“10 日 EMA”值

bubuko.com,布布扣

 

 

 

 

 

 

 

 

 

 

 

 

 

 

 

首先,10 日 EMA 的加权为:

bubuko.com,布布扣

再确定初始值 EMAt0,把“前 10 日的 SMA”作为 EMAt0(表 2 黄色背景显示的数字),这个 SMA 仅在第一次计算时使用,此后都使用前一个的 EMA 值:

bubuko.com,布布扣

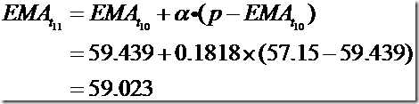
从第 11 个时间开始,EMA12 为,

bubuko.com,布布扣

以此类推。

得到的各个 EMA 值的 EMA 线如下图所示:

bubuko.com,布布扣

图 2 柯达公司股价的“10 日 EMA”线

注意,理论上,数据库中的每个历史收市价都参与了所有 EMA 数值的计算。从计算公式,虽然随时间推移,较远时间收市价的影响力渐渐变小,但它永远都不会完全消失。事实也的确如此,虽然指数移动平均线都有确定的时间周期。历史价格对短周期的指数移动平均值的影响相对较长周期的指数移动平均线减少得快,但是,请记住,历史价格的影响力永远都不会完全消失。

简单移动平均线与指数移动平均线的比较

乍看上去,EMA 线和 SMA 线的区别似乎很小,但上面例子仅用了 10 个交易日的数据,尽管如此,区别还是显然的,EMA 线更贴近实际价格。一般来说,EMA 比 SMA 贴近实际价格的距离要近似  3/8。

表 3 柯达股价“10 日 SMA”和“10 日 EMA”差异

bubuko.com,布布扣

表 3 是同一时间的 SMA 和 EMA 相对于实际价格的差距。从第 10 – 20 天这 10 天内,有 9 天的 EMA 线比 SMA 线更贴近实际价格。SMA 线唯一一次比 EMA 线更贴近实际价格是第 18 天。

参考资料


 

下载 Demo

移动平均

原文:http://www.cnblogs.com/liuning8023/p/3548770.html

(0)
(0)
   
举报
评论 一句话评论(0
关于我们 - 联系我们 - 留言反馈 - 联系我们:wmxa8@hotmail.com
© 2014 bubuko.com 版权所有
打开技术之扣,分享程序人生!