PLSA模型是基于频率派思想的,每篇文档的K个主题是固定的,每个主题的词语概率也是固定的,我们最终要求出固定的topic-word概率模型。贝叶斯学派显然不认同,他们认为,文档的主题未知,主题的词语分布未知,我们无法求解出精确值,只能计算doc-topic概率模型、topic-word概率模型的概率分布。
我们令
为doc-topic概率模型,
为topic-word概率模型,每个
包含K个维度(K为topic类数量),每个
包含V个维度(V为word类数量)。在PLSA中,抛doc-topic骰子是一个K项式实验,抛topic-word骰子是一个V项式实验,所以我们使用K维Dirichlet分布模拟
的先验分布,V维Dirichlet分布模拟
的先验分布是自然而然的事情。使用贝叶斯思想改造PLSA模型后,得到的新模型叫做LDA模型。LDA模型文档生成图例如下

由于topic-word模型与文档无关,所以我们在所有文档生成之前从Dirichlet分布生成K个topic-word骰子。而doc-topic模型和每篇文档相关,所以生成每篇文档之前需要从Dirichlet分布生成1个doc-topic骰子。LDA模型生成文档过程如下

物理过程分解

对于第m篇文档第n个词语的生成,我们可以分解为如下两个过程
1、 
通过Dirichlet(α)分布生成一个doc-topic骰子m,投掷doc-topic骰子m,进行K项式实验,生成topic z(1 <= z <= K)。
2、 
事先已经通过Dirichlet(β)分布生成了K个topic-word骰子(编号1到K),选择第z个骰子投掷,进行V项式实验,生成词语w。
对于第一个物理过程显然是Dirichlet-Multinomial共轭结构

对比下面公式(公式懒得敲,复制《LDA数学八卦》,其实就是多项式分布在Dirichlet分布上积分)


我们有

其中
表示第m篇文档第k个topic产生词语的个数(也就是第k个topic投掷出现的次数,n对于我们来说是未知的)。参数的后验分布为

由于语料中M篇文档相互独立,所以我们得到M个相互独立的Dirichlet-Multinomial共轭结构,从而整个语料库topic生成的概率为
(1)
由于topic-word概率分布与doc数量无关,对于K个topic-word骰子,我们有K个Dirichlet分布,理所当然我们应该有K个
的Dirichlet-Multinomial共轭结构。
前面的LDA过程我们不好找出K个topic-word骰子V项式实验,我们进行一下改造。
1、 每篇文章每个词进行一次doc-topic骰子多项式投掷实验与一次topic-word骰子多项式投掷实验。
修改为
2、 每篇文章先进行n次doc-topic骰子多项式投掷实验,再进行n次topic-word骰子多项式投掷实验。(n为一篇文章中词语的个数)
进一步修改
3、 整个语料库先进行n次doc-topic骰子多项式投掷实验,并且把实验结果分成K类,每类对应同一个topic结果,然后再在K类中分别进行topic-word骰子多项式投掷实验,总共n次。(n为整个语料库的词语个数)
这里在K类中分别进行topic-word骰子多项式投掷实验,显然就是K个topic-word骰子V项式实验。上述过程可以用如下两个表达式表示

z表示进行的M个doc-topic多项式投掷实验生成的结果(每篇文章用一个doc-topic骰子,结果进行了分类排序),w表示进行了K个topic-word多项式投掷实验(每个主题用一个topic-word骰子)。
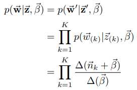
因此第二个物理过程也是一个Dirichlet-Multinomial共轭结构

我们有

其中
表示第k个topic产生第word t的个数(n未知),
的后验分布为

由于K个topic生成word是独立的,所以我们得到了K个独立的Dirichlet-Multinomial共轭结构,于是整个语料的词语生成概率为
(2)
由于生成topic和word是独立的,综合(1)(2)有

参考:《LDA数学八卦》
原文:https://www.cnblogs.com/coshaho/p/9746463.html