FM即Factor Machine,因子分解机。
1、特征组合是许多机器学习建模过程中遇到的问题,如果对特征直接建模,很有可能会忽略掉特征与特征之间的关联信息,因此,可以通过构建新的交叉特征这一特征组合方式提高模型的效果。
2、高维的稀疏矩阵是实际工程中常见的问题,并直接会导致计算量过大,特征权值更新缓慢。试想一个10000*100的表,每一列都有8种元素,经过one-hot独热编码之后,会产生一个10000*800的表。因此表中每行元素只有100个值为1,700个值为0。
而FM的优势就在于对这两方面问题的处理。首先是特征组合,通过对两两特征组合,引入交叉项特征,提高模型得分;其次是高维灾难,通过引入辅助向量(对参数矩阵进行矩阵分解),完成对特征的参数估计。
我们已经知道了FM可以解决特征组合以及高维稀疏矩阵问题,而实际业务场景中,电商、豆瓣等推荐系统的场景是使用最广的领域,打个比方,小王只在豆瓣上浏览过20部电影,而豆瓣上面有20000部电影,如果构建一个基于小王的电影矩阵,毫无疑问,里面将有199980个元素全为0。而类似于这样的问题就可以通过FM来解决。
在展示FM算法前,我们先回顾一下最常见的线性表达式:

其中w0 为初始权值,或者理解为偏置项,wi 为每个特征xi 对应的权值。可以看到,这种线性表达式只描述了每个特征与输出的关系。
FM的表达式如下,可观察到,只是在线性表达式后面加入了新的交叉项特征及对应的权值。

FM表达式的求解核心在于对交叉项的求解。下面是很多人用来求解交叉项的展开式,对于第一次接触FM算法的人来说可能会有疑惑,不知道公式怎么展开的,接下来笔者会手动推导一遍。

设有3个变量(特征)x1 x2 x3,每一个特征的隐变量分别为v1=(1 2 3)、v2=(4 5 6)、v3=(1 2 1),即:

设交叉项所组成的权矩阵W为对称矩阵,之所以设为对称矩阵是因为对称矩阵有可以用向量乘以向量转置替代的性质。
那么W=VVT,即

所以:

实际上,我们应该考虑的交叉项应该是排除自身组合的项,即对于x1x1、x2x2、x3x3不认为是交叉项,那么真正的交叉项为x1x2、x1x3、x2x1、x2x3、x3x1、x3x2。
去重后,交叉项即x1x2、x1x3、x2x3。这也是公式中1/2出现的原因。
对交叉项有了基本了解后,下面将进行公式的分解,还是以n=3为例,

所以:

wij可记作
或
,这取决于vi是1*3 还是3*1 向量。
上面的例子是对3个特征做的交叉项推导,因此对具有n个特征,FM的交叉项公式就可推广为:

我们还可以进一步分解:

所以FM算法的交叉项最终可展开为:

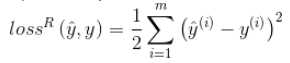
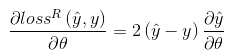
利用梯度下降法,通过求损失函数对特征(输入项)的导数计算出梯度,从而更新权值。设m为样本个数,θ为权值。
如果是回归问题,损失函数一般是均方误差(MSE):

所以回归问题的损失函数对权值的梯度(导数)为:

如果是二分类问题,损失函数一般是logit loss:

其中,表示的是阶跃函数Sigmoid。

所以分类问题的损失函数对权值的梯度(导数)为:


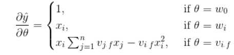
相应的,对于常数项、一次项、交叉项的导数分别为:

FM算法的Python实现流程图如下:

我们需要注意以下四点:
1. 初始化参数,包括对偏置项权值w0、一次项权值w以及交叉项辅助向v量的初始化;
2. 定义FM算法;
3. 损失函数梯度的定义;
4. 利用梯度下降更新参数。
下面的代码片段是以上四点的描述,其中的loss并不是二分类的损失loss,而是分类loss的梯度中的一部分:
loss = self.sigmoid(classLabels[x] * p[0, 0]) -1
实际上,二分类的损失loss的梯度可以表示为:
gradient = (self.sigmoid(classLabels[x] * p[0, 0]) -1)*classLabels[x]*p_derivative
其中 p_derivative 代表常数项、一次项、交叉项的导数(详见本文第6小节)。
FM算法代码片段
1 # 初始化参数 2 w = zeros((n, 1)) # 其中n是特征的个数 3 w_0 = 0. 4 v = normalvariate(0, 0.2) * ones((n, k)) 5 for it in range(self.iter): # 迭代次数 6 # 对每一个样本,优化 7 for x in range(m): 8 # 这边注意一个数学知识:对应点积的地方通常会有sum,对应位置积的地方通常都没有,详细参见矩阵运算规则,本处计算逻辑在:http://blog.csdn.net/google19890102/article/details/45532745 9 # xi·vi,xi与vi的矩阵点积 10 inter_1 = dataMatrix[x] * v 11 # xi与xi的对应位置乘积 与 xi^2与vi^2对应位置的乘积 的点积 12 inter_2 = multiply(dataMatrix[x], dataMatrix[x]) * multiply(v, v) # multiply对应元素相乘 13 # 完成交叉项,xi*vi*xi*vi - xi^2*vi^2 14 interaction = sum(multiply(inter_1, inter_1) - inter_2) / 2. 15 # 计算预测的输出 16 p = w_0 + dataMatrix[x] * w + interaction 17 print(‘classLabels[x]:‘,classLabels[x]) 18 print(‘预测的输出p:‘, p) 19 # 计算sigmoid(y*pred_y)-1准确的说不是loss,原作者这边理解的有问题,只是作为更新w的中间参数,这边算出来的是越大越好,而下面却用了梯度下降而不是梯度上升的算法在 20 loss = self.sigmoid(classLabels[x] * p[0, 0]) - 1 21 if loss >= -1: 22 loss_res = ‘正方向 ‘ 23 else: 24 loss_res = ‘反方向‘ 25 # 更新参数 26 w_0 = w_0 - self.alpha * loss * classLabels[x] 27 for i in range(n): 28 if dataMatrix[x, i] != 0: 29 w[i, 0] = w[i, 0] - self.alpha * loss * classLabels[x] * dataMatrix[x, i] 30 for j in range(k): 31 v[i, j] = v[i, j] - self.alpha * loss * classLabels[x] * ( 32 dataMatrix[x, i] * inter_1[0, j] - v[i, j] * dataMatrix[x, i] * dataMatrix[x, i])
FM算法完整实现
1 # -*- coding: utf-8 -*- 2 3 from __future__ import division 4 from math import exp 5 from numpy import * 6 from random import normalvariate # 正态分布 7 from sklearn import preprocessing 8 import numpy as np 9 10 ‘‘‘ 11 data : 数据的路径 12 feature_potenital : 潜在分解维度数 13 alpha : 学习速率 14 iter : 迭代次数 15 _w,_w_0,_v : 拆分子矩阵的weight 16 with_col : 是否带有columns_name 17 first_col : 首列有价值的feature的index 18 ‘‘‘ 19 20 21 class fm(object): 22 def __init__(self): 23 self.data = None 24 self.feature_potential = None 25 self.alpha = None 26 self.iter = None 27 self._w = None 28 self._w_0 = None 29 self.v = None 30 self.with_col = None 31 self.first_col = None 32 33 def min_max(self, data): 34 self.data = data 35 min_max_scaler = preprocessing.MinMaxScaler() 36 return min_max_scaler.fit_transform(self.data) 37 38 def loadDataSet(self, data, with_col=True, first_col=2): 39 # 我就是闲的蛋疼,明明pd.read_table()可以直接度,非要搞这样的,显得代码很长,小数据下完全可以直接读嘛,唉~ 40 self.first_col = first_col 41 dataMat = [] 42 labelMat = [] 43 fr = open(data) 44 self.with_col = with_col 45 if self.with_col: 46 N = 0 47 for line in fr.readlines(): 48 # N=1时干掉列表名 49 if N > 0: 50 currLine = line.strip().split() 51 lineArr = [] 52 featureNum = len(currLine) 53 for i in range(self.first_col, featureNum): 54 lineArr.append(float(currLine[i])) 55 dataMat.append(lineArr) 56 labelMat.append(float(currLine[1]) * 2 - 1) 57 N = N + 1 58 else: 59 for line in fr.readlines(): 60 currLine = line.strip().split() 61 lineArr = [] 62 featureNum = len(currLine) 63 for i in range(2, featureNum): 64 lineArr.append(float(currLine[i])) 65 dataMat.append(lineArr) 66 labelMat.append(float(currLine[1]) * 2 - 1) 67 return mat(self.min_max(dataMat)), labelMat 68 69 def sigmoid(self, inx): 70 # return 1.0/(1+exp(min(max(-inx,-10),10))) 71 return 1.0 / (1 + exp(-inx)) 72 73 # 得到对应的特征weight的矩阵 74 def fit(self, data, feature_potential=8, alpha=0.01, iter=100): 75 # alpha是学习速率 76 self.alpha = alpha 77 self.feature_potential = feature_potential 78 self.iter = iter 79 # dataMatrix用的是mat, classLabels是列表 80 dataMatrix, classLabels = self.loadDataSet(data) 81 print(‘dataMatrix:‘,dataMatrix.shape) 82 print(‘classLabels:‘,classLabels) 83 k = self.feature_potential 84 m, n = shape(dataMatrix) 85 # 初始化参数 86 w = zeros((n, 1)) # 其中n是特征的个数 87 w_0 = 0. 88 v = normalvariate(0, 0.2) * ones((n, k)) 89 for it in range(self.iter): # 迭代次数 90 # 对每一个样本,优化 91 for x in range(m): 92 # 这边注意一个数学知识:对应点积的地方通常会有sum,对应位置积的地方通常都没有,详细参见矩阵运算规则,本处计算逻辑在:http://blog.csdn.net/google19890102/article/details/45532745 93 # xi·vi,xi与vi的矩阵点积 94 inter_1 = dataMatrix[x] * v 95 # xi与xi的对应位置乘积 与 xi^2与vi^2对应位置的乘积 的点积 96 inter_2 = multiply(dataMatrix[x], dataMatrix[x]) * multiply(v, v) # multiply对应元素相乘 97 # 完成交叉项,xi*vi*xi*vi - xi^2*vi^2 98 interaction = sum(multiply(inter_1, inter_1) - inter_2) / 2. 99 # 计算预测的输出 100 p = w_0 + dataMatrix[x] * w + interaction 101 print(‘classLabels[x]:‘,classLabels[x]) 102 print(‘预测的输出p:‘, p) 103 # 计算sigmoid(y*pred_y)-1 104 loss = self.sigmoid(classLabels[x] * p[0, 0]) - 1 105 if loss >= -1: 106 loss_res = ‘正方向 ‘ 107 else: 108 loss_res = ‘反方向‘ 109 # 更新参数 110 w_0 = w_0 - self.alpha * loss * classLabels[x] 111 for i in range(n): 112 if dataMatrix[x, i] != 0: 113 w[i, 0] = w[i, 0] - self.alpha * loss * classLabels[x] * dataMatrix[x, i] 114 for j in range(k): 115 v[i, j] = v[i, j] - self.alpha * loss * classLabels[x] * ( 116 dataMatrix[x, i] * inter_1[0, j] - v[i, j] * dataMatrix[x, i] * dataMatrix[x, i]) 117 print(‘the no %s times, the loss arrach %s‘ % (it, loss_res)) 118 self._w_0, self._w, self._v = w_0, w, v 119 120 def predict(self, X): 121 if (self._w_0 == None) or (self._w == None).any() or (self._v == None).any(): 122 raise NotFittedError("Estimator not fitted, call `fit` first") 123 # 类型检查 124 if isinstance(X, np.ndarray): 125 pass 126 else: 127 try: 128 X = np.array(X) 129 except: 130 raise TypeError("numpy.ndarray required for X") 131 w_0 = self._w_0 132 w = self._w 133 v = self._v 134 m, n = shape(X) 135 result = [] 136 for x in range(m): 137 inter_1 = mat(X[x]) * v 138 inter_2 = mat(multiply(X[x], X[x])) * multiply(v, v) # multiply对应元素相乘 139 # 完成交叉项 140 interaction = sum(multiply(inter_1, inter_1) - inter_2) / 2. 141 p = w_0 + X[x] * w + interaction # 计算预测的输出 142 pre = self.sigmoid(p[0, 0]) 143 result.append(pre) 144 return result 145 146 def getAccuracy(self, data): 147 dataMatrix, classLabels = self.loadDataSet(data) 148 w_0 = self._w_0 149 w = self._w 150 v = self._v 151 m, n = shape(dataMatrix) 152 allItem = 0 153 error = 0 154 result = [] 155 for x in range(m): 156 allItem += 1 157 inter_1 = dataMatrix[x] * v 158 inter_2 = multiply(dataMatrix[x], dataMatrix[x]) * multiply(v, v) # multiply对应元素相乘 159 # 完成交叉项 160 interaction = sum(multiply(inter_1, inter_1) - inter_2) / 2. 161 p = w_0 + dataMatrix[x] * w + interaction # 计算预测的输出 162 pre = self.sigmoid(p[0, 0]) 163 result.append(pre) 164 if pre < 0.5 and classLabels[x] == 1.0: 165 error += 1 166 elif pre >= 0.5 and classLabels[x] == -1.0: 167 error += 1 168 else: 169 continue 170 # print(result) 171 value = 1 - float(error) / allItem 172 return value 173 174 175 class NotFittedError(Exception): 176 """ 177 Exception class to raise if estimator is used before fitting 178 """ 179 pass 180 181 182 if __name__ == ‘__main__‘: 183 fm()
原文:https://www.cnblogs.com/wkang/p/9588360.html