scenario 定义中包括 Mode、Corner、RC
其中 Corner (PVT)用于计算 cell delay
而 RC 用于计算 net delay
本文简要介绍如何使用 RC 参数来计算 net delay 值
下图是绕线模型示意图:

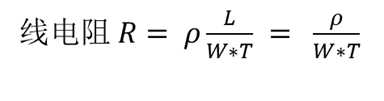
1. 每条绕线上存在线电阻 R ,计算公式如下:

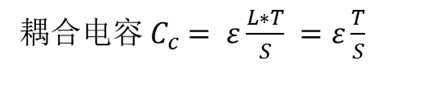
2. 同层相邻两条绕线之间存在耦合电容,耦合电容计算公式如下

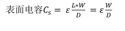
3. 相邻两层两条平行的绕线之间则存在表面电容,计算公式如下:

原文:https://www.cnblogs.com/xiaoxie2014/p/9413174.html