
DFT在实际应用中非常重要,可以计算信号的频谱,功率谱和线性卷积等。
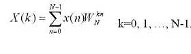
离散傅里叶变换的公式:

其中:
称为旋转因子。
由欧拉公式可得:

直接按DFT变换进行计算,当序列长度N很大时,计算量非常大,所需的时间非常长。
FFT是 快速傅里叶变换。其算法原理这里不再赘述,网上资料或者相关书籍的介绍很多。主要分为按时间抽取法和按频率抽取法。
这里介绍按时间抽取的基2算法的硬件实现。
下面介绍的部分需要了解蝶形运算是什么,这里不做分析。
先来看一张16点的蝶形运算图:

第1级(第1列)每个蝶形的两节点“距离”为1,第2级每个蝶形的两节点“距离”为2,第3级每个蝶形的两节点“距离”为4,第4级每个蝶形的两节点“距离”为8。由此推得,第m级蝶形运算,每个蝶形的两节点“距离”L=2^(m-1)。
对于16点的FFT,第1级有8组蝶形,每组有1个蝶形;第2级有4组蝶形,每组有2个蝶形;第3级有2组蝶形,每组有4个蝶形;第4级有1组蝶形,每组有8个蝶形。由此可推出,对于N点的FFT,第m级有N/2L组蝶形,每组有L=2^(m-1)个蝶形。
从上图我们可以分析出左边输入端与右边输出端的顺序关系,用二进制表示为:
左边 右边
0000 0000
1000 0001
0100 0010
1100 0011
0010 0100
1010 0101
0110 0110
1110 0111
0001 1000
······· ·······
不难看出,右边的逆序正是左边的正序,利用这一点,可以事先将输入序列重新排序。
关于旋转因子,可以事先计算出来 ,由于FPGA不擅长做浮点运算,需要将计算出的旋转因子扩大2^n倍。然后以.mif的格式存放在FPGA片上ROM中。
关于输入序列的长度N,最好是2的整数次幂。
为了提高速度,可将FFT的输入序列存放在FPGA片上RAM中,所以在使用FFT的项目中,选取FPGA芯片时,要考虑片上RAM的容量。
将片上RAM设置为TRUE DPRAM,两个口读,两个口写,提高存取效率,实际使用中自有妙用。
根据上图的蝶形运算图,可以大致确定 FFT的计算量。
直接的DFT算法运算量:
N*N ,单位为复数乘法的时间MT;
使用FFT算法的运算量:
N/2*log2(N),单位为数乘法的时间MT;
算法运算量 比较:

根据蝶形运算图,可以将FPGA设计层级结构分为3层:
蝶形级数循环层,
蝶形组数循环层,
蝶形个数循环层。
复数乘法可直接使用FPGA片内自带的乘法器,注意数据位宽,谨防溢出。
另外,被乘数和乘数必须为原码,做乘法时必须考虑数据的正负符号问题。
设计加法器和减法器时,由于存在符号问题,包括正数+正数,正数+负数,负数+负数,以及正数-正数,正数-负数,负数-正数,负数-负数,这些判断操作非常繁琐,设计时格外注意数据的大小及正负。
这里我们可以将设计变的简单:
将输入到加法器和减法器的两个数据先转换为补码,然后做加法运算,输出时再将补码转换成原码即可。
为了节省资源,尽可能使用移位代替乘法和除法。为了提高速度,可在适当的地方加入流水线操作。
关于精度问题:由于FPGA不擅长做浮点运算,必然存在精度问题。
首先,对存入ROM的旋转因子进行了放大,引入精度问题。
然后,在旋转因子的乘法中,引入精度问题。
再后续旋转因子的还原中,也引入精度问题。
提高精度,一方面在放大旋转因子时,可以适当提高放大倍数,另一方面,旋转因子还原中,尽量把还原除法放在最后输出的地方。
版权所有权归卿萃科技 杭州FPGA事业部,转载请注明出处
作者:杭州卿萃科技ALIFPGA
原文地址:杭州卿萃科技FPGA极客空间 微信公众号

扫描二维码关注杭州卿萃科技FPGA极客空间
原文:https://www.cnblogs.com/alifpga/p/9177056.html