场论理论包括多种形式,比如简单的向量场,而梯度场则是由数量场所得到的矢量场,它的定义与坐标系的选择无关。梯度场在微分学、积分学以及算子的定义方面起着重要的作用。梯度场在物理学中也称为保守场,这来源于能量守恒定律。
f(x, y)是关于x和y的函数,如果存在向量场F = ▽f,也就是向量场F是f 的梯度,那么称F是梯度场,f是梯度场F的势函数。
线积分的基本定理
单变量微积分的基本定理告诉我们,对原函数的导数积分会得到原函数。相应地,线积分的基本定理是这样描述的:如果对一个函数的梯度做线积分,就能得到原函数。
线积分的基本定理告诉我们,如果沿一条曲线对一个函数f的梯度做积分,即对一个梯度场做积分,计算结果将会是f在P1点的值减去f在P0点的值:

需要注意的是,上式仅在梯度场中成立(下一章将具体介绍如何确定一个场是否是梯度场)。
根链全微分(可参考《多变量微积分4——全微分与链式法则》):

这就和单变量微积分的基本定理一致。
将x和y参数化,C是在 t 时间内移动的轨迹:

在上一章《线积分》中有这样一个示例:
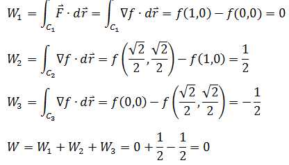
如下图所示,在向量场F = yi + xj中,质点移动的轨迹是C1→C2→C3,三段轨迹围成了闭合的扇形,扇形的半径是1,弧度是 π/4,求力场中对质点的总功。

上一章花了比较大的力气计算总功,有了基本定理,就可以使计算简化。很容易看出,F = yi + xj是一个梯度场,它的势函数是f = xy,所以:

线积分基本定理的一个重要结论是独立路径:在梯度场中,如果需要计算一个线积分,无论怎样的路径,积分值都只跟起点和终点的值有关。在梯度场中,下图三条路径的线积分是等价的。

对于闭合区间,可以用一个新的积分符号表示,以此强调闭合:

在保守场中,如果C是闭合曲线,那么沿C所做的功是0;相反,如果不是保守场,那么一定存在某个地方,沿着闭合曲线所做的功不为0。反过来说,如果在一个向量场中,沿着某条闭合曲线做的功为0,这并不足以说明这个向量场是保守场,还必须强调是任意闭合曲线。

梯度场的势函数是f(x,y) = x5 + 3xy3,质点运动的轨迹C是半径为1的半圆,计算C在梯度场中的线积分。

尝试使用3中方法。
1.根据线积分基本定理:
2.根据独立路径,下面两个曲线的线积分相等:


在直线轨迹中,y = 0,dy = 0

3.使x和y参数化:

作者:我是8位的
出处:http://www.cnblogs.com/bigmonkey
本文以学习、研究和分享为主,如需转载,请联系本人,标明作者和出处,非商业用途!
扫描二维码关注公众号“我是8位的”

原文:https://www.cnblogs.com/bigmonkey/p/8872801.html