6.1拆分实数整数及小数部分
1.设计思路:
(1)
第一步:阅读题目要求及所给部分。
第二步:根据题意补全相应函数。
2.实验代码:
#include <stdio.h> void splitfloat( float x, int *intpart, float *fracpart ); int main() { float x, fracpart; int intpart; scanf("%f", &x); splitfloat(x, &intpart, &fracpart); printf("The integer part is %d\n", intpart); printf("The fractional part is %g\n", fracpart); return 0; } void splitfloat(float x,int *intpart,float *fracpart) {*intpart=x/1; *fracpart=x-*intpart; }
3.调试过程中碰到的问题和解决办法:
没有问题
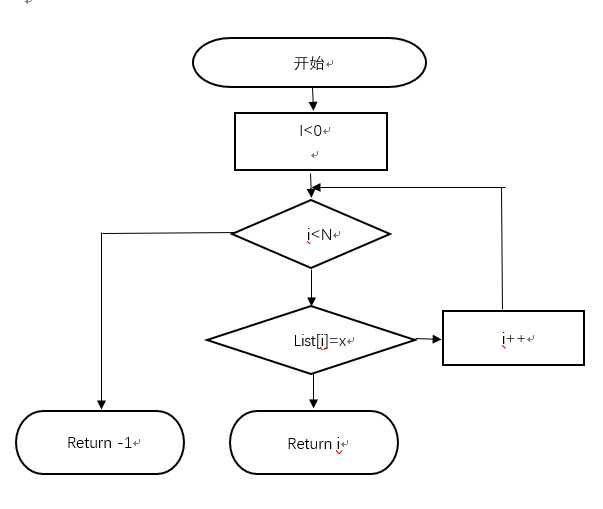
6.2在数组中查找指定元素
1.设计思路:
(1)
第一步:审题
第二步:补全缺失函数
(2)流程图

2.实验代码:
#include <stdio.h> #define MAXN 10 int search( int list[], int n, int x ); int main() { int i, index, n, x; int a[MAXN]; scanf("%d", &n); for( i = 0; i < n; i++ ) scanf("%d", &a[i]); scanf("%d", &x); index = search( a, n, x ); if( index != -1 ) printf("index = %d\n", index); else printf("Not found\n"); return 0; } int search(int list[],int n,int x) { int i; for(i=0;i<=n;i++) if(list[i]==x) return i; return -1; }
3.调试过程中遇到的问题和解决办法:
没有问题
6.1计算两数的和与差
1.设计思路
(1)
第一步:审题
第二步:补全相应函数
(2)流程图

2.实验代码:
#include <stdio.h> void sum_diff( float op1, float op2, float *psum, float *pdiff ); int main() { float a, b, sum, diff; scanf("%f %f", &a, &b); sum_diff(a, b, &sum, &diff); printf("The sum is %.2f\nThe diff is %.2f\n", sum, diff); return 0; } void sum_diff(float op1,float op2,float *psum,float *pdiff) { *psum=op1+op2; *pdiff=op1-op2; }
3.调试过程中遇到的问题和解决办法:
没有问题
7.1数组元素循环右移问题
1.设计思路:
(1)
第一步:审题
第二步:设计函数,利用主函数对其调用
(2)流程图

2.实验代码:
#include<stdio.h> int main() { int a[100]; int i,N,M,t; scanf("%d %d",&N,&M); for(i=0;i<N;i++) scanf("%d",&a[i]); for(int j=0;j<M;j++) { t=a[N-1]; for(i=N-2;i>=0;i--) { a[i+1]=a[i]; } a[0]=t; } for(i=0;i<N;i++) printf(i==N-1?"%d":"%d ",a[i]); return 0; }
3.调试过程中遇到的问题和解决办法:
没有问题