最近做测评的过程中碰到两类求组合数的问题:
1. 求组合数的值的大小
2. 求组合数的排列情况
下面分别来讨论
1. 求组合数的值的大小
第一种最直接能想到的办法,就是用排列组合公式

这样求固然很快,但是无法对中间值进行操作。换句话说,最后求得的结果会很大,可能导致溢出。
当需要对中间值进行操作的时候,如对进行中间值取模操作,就可以用下面的方法。
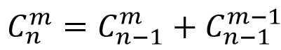
第二种方法,利用关系式逐层推导
![]()
1 int zuhe(int n, int m) 2 { 3 if (n < m) 4 return zuhe(m, n); 5 vector<vector<int>> v(n + 1, vector<int>(n + 1, 0)); 6 for (int i = 0;i <= n;i++) 7 v[i][0] = 1; //第0列的初始值为1,C(n,0)也返回1 8 cout << 1 << endl; 9 for (int i = 1;i <= n;i++) 10 { 11 cout << 1; 12 for (int j = 1;j <= i;j++) 13 { 14 v[i][j] = v[i - 1][j] + v[i - 1][j - 1]; 15 cout << ‘ ‘ << v[i][j]; 16 } 17 cout << endl; 18 } 19 return v[n][m]; 20 }
以C(5,2)为例,打印出如下的表,在每一步的计算过程中都可以进行取模操作,不用担心最后结果会非常大。

2. 求组合数的排列情况
思路:利用递归,类似dfs
1 void help(int n, int m, set<int> s = set<int>(), int cnt = 0, int from = 1) 2 { 3 if (cnt == m) 4 { 5 for (auto item : s) 6 cout << item << ‘ ‘; 7 cout << endl; 8 return; 9 } 10 else 11 { 12 for (int i = from;i <= n;i++) 13 { 14 if (s.find(i) == s.end()) 15 { 16 s.insert(i); 17 help(n, m, s, cnt + 1, i + 1); //cnt表示set中加入数字的数量(递归轮数),from表示下一轮递归从数字几开始 18 s.erase(i); 19 } 20 } 21 } 22 }
同样以C(5,2)为例,输出结果如下
