首页 > 其他 > 详细

Stirling数反演与自然数幂和

时间:2018-03-20 21:19:16      阅读:731      评论:0      收藏:0      [点我收藏+]

Stirling数反演相关内容:http://blog.csdn.net/OwenOwl/article/details/79442341

技术分享图片

 

技术分享图片

 

技术分享图片

 

下降幂是指$x*(x-1)*(x-2)*...*(x-k+1)$,上升幂是指$x*(x+1)*(x+2)*...*(x+k-1)$

接着我们考虑斯特林数反演

技术分享图片

可以发现将通常幂和下降幂分别作为f(x)和g(x),就可以直接反演了。

然后有一个概念叫作离散微积分(有限微积分),就是将积分的概念在整数范围内实现。

https://ruanx.pw/post/有限微积分.html

现在就可以做自然数幂和了:https://www.cnblogs.com/meowww/p/6410869.html 方法二

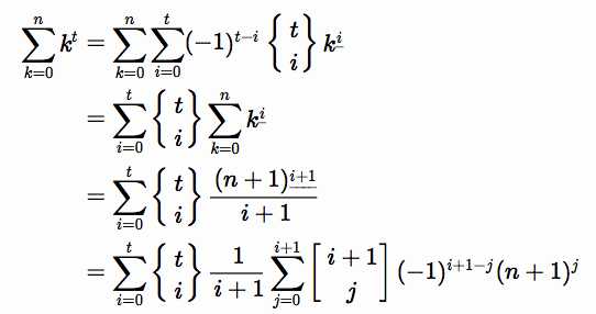
注意这里有个笔误

技术分享图片

 

第一个等式后面没有$(-1)^{t-i}$

这样我们就可以在$O(k^2)$内求出答案了,这是相当优秀的复杂度。

Stirling数反演与自然数幂和

原文:https://www.cnblogs.com/HocRiser/p/8612579.html

(0)
(0)
   
举报
评论 一句话评论(0
关于我们 - 联系我们 - 留言反馈 - 联系我们:wmxa8@hotmail.com
© 2014 bubuko.com 版权所有
打开技术之扣,分享程序人生!