http://www.lydsy.com/JudgeOnline/problem.php?id=3527
给出n个数qi,给出Fj的定义如下:令Ei=Fi/qi,求Ei.
参考:https://www.cnblogs.com/iwtwiioi/p/4126284.html
暴力肯定会TLE,考虑转换成卷积形然后FFT优化。
(因为不是markdown所以算式截图自参考博客,如有不妥删……)
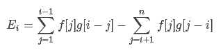
首先算E可以把F里的所有qj全部拿下,设f[i]=q[i],g[i]=1/i/i(g[0]=0表示不存在这一项),显然可以变成:

第一个变成卷积很简单,考虑将f所有存储值下标前移一位,同时n--。
所以j初值为0,末值为i,变成:f[j]g[i-j]。
对于后者,j初值为i,末值为n。
显然令j初值为0,末值t=n-i可以变成:f[j+i]g[j]
因为i=n-t,所以变成: f[j+n-t]g[j]
设ff[n-i]=f[i],则f[j+n-t]=ff[t-j]。
所以变成: ff[t-j]g[j]。这是不是就是卷积了?
剩下的就是FFT基本功了。
#include<algorithm> #include<iostream> #include<cstring> #include<cstdio> #include<cmath> using namespace std; typedef double dl; const dl pi=acos(-1.0); const int N=2e6+10; struct complex{//定义复数 dl x,y; complex(dl xx=0.0,dl yy=0.0){ x=xx;y=yy; } complex operator +(const complex &b)const{ return complex(x+b.x,y+b.y); } complex operator -(const complex &b)const{ return complex(x-b.x,y-b.y); } complex operator *(const complex &b)const{ return complex(x*b.x-y*b.y,x*b.y+y*b.x); } }; void FFT(complex a[],int n,int on){ for(int i=1,j=n>>1;i<n-1;i++){ if(i<j)swap(a[i],a[j]); int k=n>>1; while(j>=k){j-=k;k>>=1;} if(j<k)j+=k; } for(int i=2;i<=n;i<<=1){ complex res(cos(-on*2*pi/i),sin(-on*2*pi/i)); for(int j=0;j<n;j+=i){ complex w(1,0); for(int k=j;k<j+i/2;k++){ complex u=a[k],t=w*a[k+i/2]; a[k]=u+t; a[k+i/2]=u-t; w=w*res; } } } if(on==-1) for(int i=0;i<n;i++)a[i].x/=n; } complex f[N],g[N],ff[N]; dl ans1[N],ans2[N]; int n; int main(){ scanf("%d",&n);n--; for(int i=0;i<=n;i++){ scanf("%lf",&f[i].x); ff[n-i]=f[i]; } for(int i=1;i<=n;i++)g[i].x=1.0/i/i; int len=1; while(len-1<n*2)len<<=1; FFT(f,len,1);FFT(ff,len,1);FFT(g,len,1); for(int i=0;i<len;i++){ f[i]=f[i]*g[i]; ff[i]=ff[i]*g[i]; } FFT(f,len,-1);FFT(ff,len,-1); for(int i=0;i<len;i++)ans1[i]=f[i].x,ans2[i]=ff[i].x; for(int i=0;i<=n;i++)printf("%.3lf\n",ans1[i]-ans2[n-i]); return 0; }
+++++++++++++++++++++++++++++++++++++++++++
+本文作者:luyouqi233。 +
+欢迎访问我的博客:http://www.cnblogs.com/luyouqi233/+
+++++++++++++++++++++++++++++++++++++++++++
