

















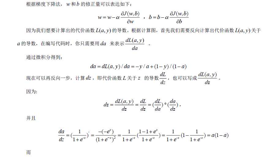
---------------------------------------------------------------------------------------------------------------
pdf和docx版本见hezhiyao的github:https://github.com/hezhiyao/-Logistic-Regression-Notes
课程一(Neural Networks and Deep Learning)总结:Logistic Regression
原文:http://www.cnblogs.com/hezhiyao/p/7922712.html