作者:桂。
时间:2017-09-29 21:20:18
链接:http://www.cnblogs.com/xingshansi/p/7612984.html
未完待续。。。
前言
主要分析在解相干算法中,子阵平滑的有效性。
一、前向平滑
以均匀线阵(ULA)为例,第l个接收阵元的信号为:

其中 ,M为阵元数,N为信号个数。
,M为阵元数,N为信号个数。
以前向平滑为例:

令β =  ,对于第k个子阵有
,对于第k个子阵有

其中D为:

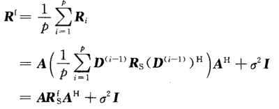
假设信号与噪声不相关,且噪声为白噪声,计算相关矩阵:

前向平滑修正的协方差矩阵:

证明:当子阵阵元数m>=N,且当p>=N时,Rf为满秩矩阵。
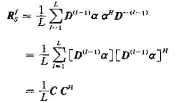
对于相干情况,Rs的秩为1,故可以用矢量相乘的形式表示:
则
显然C与Rsf的秩是一致的。式中
C可进一步表示为
其中
,α为对应信号的幅度,因此该矩阵rank = K
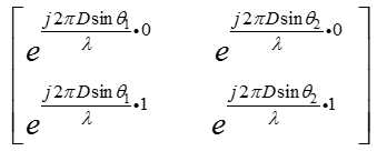
AL是Vandermonde矩阵:
从而有:
进一步得出结论:
得证。
上面的推导是教科书中的推导,以两个子阵、两个信号为例,假设两个子阵的间距为D,对应的A可写为:

虽然具有Vandermonde结构,但即使入射角度不同,上面的矩阵仍然可能出现rank = 1的情况,只要满足(k为整数):

任意取D = 4*λ,theta1、2分别取-60°~60°,仿真结果:

D = 2*λ,进行仿真:

当两个相位差2pi整数倍,如图蓝线所示,此时相关矩阵的秩仍然是亏缺的,此时谱估计解相干失效,这里称蓝色区域为盲区。以MUSIC算法为例,自然也无从谈起矩阵分解以及谱估计。另一方面,D与λ比值的取值越小,则盲区越小。
二、后向平滑算法
三、前后向平滑算法
四、前向、后向、前后向平滑与阵列的关系
五、前后向与非均匀的关系
六、非均匀镜像中坐标点的影响
主要影响D,近而影响盲区
原文:http://www.cnblogs.com/xingshansi/p/7612984.html