首页 > 其他 > 详细

世界上最伟大的十个公式(转载)

时间:2017-08-25 22:07:54      阅读:440      评论:0      收藏:0      [点我收藏+]

这些公式不仅仅是数学家和物理学家的智慧结晶,更是人类文明的集中体现。每一个公式都深深影响了人类社会的变革,甚至塑造了人类的思想。这些公式中有些你会很熟悉,有些你也许不那么熟悉。作为人类的我们有必要了解这些公式,了解人类的思想历程。

公式

 
  1. 名称:麦克斯韦方程组

    创立者:詹姆斯·克拉克·麦克斯韦

    意义:将电场和磁场有机地统一成完整的电磁场。并创立了电磁场理论,而没有电磁学理论,就不会有现在的社会文明。

    技术分享
    技术分享
  2. 名称:欧拉公式

    创立者:莱昂哈德·欧拉

     

    意义:数学上有许多公式都是欧拉发现的,因此欧拉公式并不是某单一的公式,欧拉公式广泛分布于数学的各个分支中。瑞士教育与研究国务秘书Charles Kleiber曾表示:“没有欧拉的众多科学发现,今天的我们将过着完全不一样的生活。”法国数学家拉普拉斯则认为:读读欧拉,他是所有人的老师。

    技术分享
    技术分享
    技术分享
  3. 名称:牛顿第二定律

    创立者:艾萨克·牛顿

    意义:牛顿第二定律是经典物理学的核心,它适用于我们日常生活的方方面面,它标志着真正物理学研究的开始。没有牛顿,人类文明会在黑暗的世界中度过更长的时间。

    技术分享
    技术分享
  4. 名称:勾股定理

    创立者:毕达哥拉斯(也有认为我国商代就已经出现勾股定理并加以证明)

    意义:勾股定理是用数学方法解决图形问题的典型方法,目前有400多种的证明形式。勾三股四弦五是如此深入每一个地球人的心灵。

    技术分享
    技术分享
  5. 名称:质能方程

    创立者:阿尔伯特·爱因斯坦

    意义:质能方程深刻地揭示了质量与能量之间的关系,在此之前,人们毫无疑问的认为:质量是质量,能量是能量,两者间没有联系。正是质能方程的发现才有原子弹、氢弹的爆炸。这个方程更重要的是彻底地颠覆了人类固有思想,促进人类文明的进步。

    技术分享
    技术分享
  6. 名称:薛定谔方程

    创立者:埃尔温·薛定谔

    意义:在量子力学中描述物体的状态不能像经典力学中一样用位移、速度等,而只能用一个物理量的函数来描述,这个物理量也不再是某个确定的值,而是一个随时间分布的概率,每一个微观系统都有相应的薛定谔方程。薛定谔方程在量子力学中的意义与牛顿第二定律在经典力学中的意义一样。

    技术分享
    技术分享
  7. 名称:1+1=2

    创立者:上帝

    意义:无法表述。

  8. 名称:德布罗意方程组

    创立者:路易·维克多·德布罗意

    意义:德布罗意认为,任何物质既有粒子性,又有波动性,或者说,任何物质也可以看成是一种波,包括人本身。人不但是作为一种物质存在,某种意义上也是一种波。

    技术分享
    技术分享
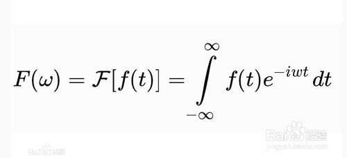
  9. 名称:傅里叶变换

    创立者:让·巴普蒂斯·约瑟夫·傅立叶

    意义:任何不规则的信号都可以表示为规则的正弦波无限叠加。它是数字信号处理领域的很重要的方法。

    技术分享
    技术分享
  10. 10

    名称:圆的周长公式  C=2πr

    创立者:人类

    意义:自然界之美的数学表达。

 

世界上最伟大的十个公式(转载)

原文:http://www.cnblogs.com/jsxyhelu/p/7429773.html

(0)
(0)
   
举报
评论 一句话评论(0
关于我们 - 联系我们 - 留言反馈 - 联系我们:wmxa8@hotmail.com
© 2014 bubuko.com 版权所有
打开技术之扣,分享程序人生!