支持向量机(Support Vector Machine,SVM)是效果最好的分类算法之中的一个。
一、线性分类器:
一个线性分类器就是要在n维的数据空间中找到一个超平面,通过这个超平面能够把两类数据分隔开来。
一个超平面。在二维空间中的样例就是一条直线。
首先给出一个很很easy的分类问题(线性可分)。我们要用一条直线,将下图中黑色的点和白色的点分开,很显然。图上的这条直线就是我们要求的直线之中的一个(能够有无数条这种直线)
假如说,我们令黑色的点 = +1, 白色的点 = -1,直线(x、w是n维列向量),等价于
,
当向量x的维度=2的时候,
表示二维空间中的一条直线, 当x的维度=3的时候,
表示3维空间中的一个平面,当x的维度=n > 3的时候。表示n维空间中的n-1维超平面。
刚刚说了,我们令黑色白色两类的点分别为+1, -1。所以当有一个新的点x须要预測属于哪个分类的时候。我们用就能够预測了,sign表示符号函数。当
的时候,
,
当
的时候
。
可是,我们如何才干取得一个最优的划分直线f(x)呢?下图的直线表示几条可能的f(x)
一个非常直观的感受是,让这条直线到给定样本中近期的点最远,这句话读起来比較拗口,以下给出几个图,来说明一下:
第一种分法:
另外一种分法:
这两种分法哪种更好呢?从直观上来说。就是切割的间隙越大越好。在SVM中,称为Maximum Marginal,是SVM的一个理论基础之中的一个。
上图被红色和蓝色的线圈出来的点就是所谓的支持向量(support vector)。
上图就是一个对之前说的类别中的间隙的一个描写叙述。Classifier Boundary就是f(x)。红色和蓝色的线(plus plane与minus plane)就是support vector所在的面,红色、蓝色线之间的间隙M就是我们要最大化的分类间的间隙。
这里直接给出M的式子:
另外支持向量位于wx + b = 1与wx + b = -1的直线上。我们在前面乘上一个该点所属的类别y(还记得吗?y不是+1就是-1),就能够得到支持向量的表达式为:y(wx + b) = 1,这样就能够更简单的将支持向量表示出来了。
当支持向量确定下来的时候,切割函数就确定下来了。两个问题是等价的。得到支持向量。另一个作用是,让支持向量后方那些点就不用參与计算了。这点在后面将会更具体的讲讲。
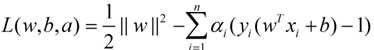
在这个小节的最后,给出我们要优化求解的表达式:
||w||的意思是w的二范数,跟上面的M表达式的分母是一个意思,之前得到,M = 2 / ||w||,最大化这个式子等价于最小化||w||, 另外因为||w||是一个单调函数,我们能够对其增加平方。和前面的系数,熟悉的同学应该非常easy就看出来了,这个式子是为了方便求导。
这个式子有另一些限制条件。完整的写下来。应该是这种:(原问题)
s.t.的意思是subject to,也就是在后面这个限制条件下的意思。这个词在svm的论文里面很easy见到。这个事实上是一个带约束的二次规划(quadratic programming, QP)问题,是一个凸问题,凸问题就是指的不会有局部最优解,能够想象一个漏斗。无论我们開始的时候将一个小球放在漏斗的什么位置。这个小球终于一定能够掉出漏斗,也就是得到全局最优解。s.t.后面的限制条件能够看做是一个凸多面体,我们要做的就是在这个凸多面体中找到最优解。
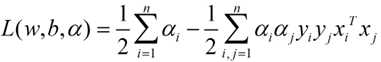
二、转化为对偶问题,并优化求解:
这个优化问题能够用拉格朗日乘子法去解,使用了KKT条件的理论,这里直接作出这个式子的拉格朗日目标函数:
求解这个式子的过程须要拉格朗日对偶性的相关知识。
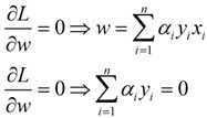
首先让L关于w。b最小化。分别令L关于w。b的偏导数为0。得到关于原问题的一个表达式
将两式带回L(w,b,a)得到对偶问题的表达式

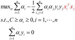
新问题加上其限制条件是(对偶问题):
这个就是我们须要终于优化的式子。至此,得到了线性可分问题的优化式子。
是求
对
的极大。
求解这个式子,有非常多的方法,比方SMO等等。
三、线性不可分的情况:
接下来谈谈线性不可分的情况,由于线性可分这样的如果实在是太有局限性了:
下图就是一个典型的线性不可分的分类图,我们没有办法用一条直线去将其分成两个区域,每一个区域仅仅包括一种颜色的点。
要想在这样的情况下的分类器,有两种方式。一种是用曲线去将其全然分开,曲线就是一种非线性的情况,跟之后将谈到的核函数有一定的关系:
第二种还是用直线。只是不用去保证可分性。就是包容那些分错的情况。只是我们得增加惩处函数,使得点分错的情况越合理越好。
事实上在非常多时候,不是在训练的时候分类函数越完美越好,由于训练函数中有些数据本来就是噪声,可能就是在人工加上分类标签的时候加错了。假设我们在训练(学习)的时候把这些错误的点学习到了。那么模型在下次碰到这些错误情况的时候就难免出错了(假如老师给你讲课的时候,某个知识点讲错了。你还信以为真了,那么在考试的时候就难免出错)。这样的学习的时候学到了“噪声”的过程就是一个过拟合(over-fitting)。这在机器学习中是一个大忌。我们宁愿少学一些内容,也坚决杜绝多学一些错误的知识。
还是回到主题。用直线怎么去切割线性不可分的点:
我们能够为分错的点加上一点惩处,对一个分错的点的惩处函数就是这个点到其正确位置的距离:
在上图中,蓝色、红色的直线分别为支持向量所在的边界。绿色的线为决策函数,那些紫色的线表示分错的点到其对应的决策面的距离,这样我们能够在原函数上面加上一个惩处函数。而且带上其限制条件为:
![]()
公式中蓝色的部分为在线性可分问题的基础上加上的惩处函数部分,当在正确一边的时候,
。R为所有的点的数目。C是一个由用户去指定的系数,表示对分错的点增加多少的惩处。当C非常大的时候,分错的点就会更少,可是过拟合的情况可能会比較严重,当C非常小的时候,分错的点可能会非常多,只是可能由此得到的模型也会不太正确。所以怎样选择C是有非常多学问的,只是在大部分情况下就是通过经验尝试得到的。
接下来就是相同的,求解一个拉格朗日对偶问题,得到一个原问题的对偶问题的表达式:
红色的部分是与线性可分的对偶问题表达式的不同之处:的范围从[0,
+∞),变为了[0, C]。添加的惩处ε没有为对偶问题添加什么复杂度。
四、核函数:
刚刚在谈不可分的情况下。提了一句,假设使用某些非线性的方法,能够得到将两个分类完美划分的曲线,比方接下来将要说的核函数。
我们能够让空间从原本的线性空间变成一个更高维的空间。在这个高维的线性空间下,再用一个超平面进行划分。这儿举个样例。来理解一下怎样利用空间的维度变得更高来帮助我们分类的:
下图是一个典型的线性不可分的情况
可是当我们把这两个类似于椭圆形的点映射到一个高维空间后,映射函数为:
用这个函数能够将上图的平面中的点映射到一个三维空间(z1,z2,z3)。而且对映射后的坐标加以旋转之后就能够得到一个线性可分的点集了。
用另外一个哲学样例来说:世界上本来没有两个全然一样的物体,对于全部的两个物体,我们能够通过增加维度来让他们终于有所差别,比方说两本书。从(颜色。内容)两个维度来说。可能是一样的,我们能够加上 作者 这个维度,是在不行我们还能够增加 页码,能够增加 拥有者,能够增加 购买地点,能够增加 笔记内容等等。当维度增加到无限维的时候,一定能够让随意的两个物体可分了。
回顾刚刚得到的对偶问题表达式:
我们能够将红色这个部分进行改造,令:
这个式子所做的事情就是将线性的空间映射到高维的空间,k(x, xj)有非常多种,以下是比較典型的两种:
上面这个核称为多项式核,以下这个核称为高斯核。高斯核甚至是将原始空间映射为无穷维空间。另外核函数有一些比較好的性质,比方说不会比线性条件下添加多少额外的计算量,等等,这里也不再深入。一般对于一个问题。不同的核函数可能会带来不同的结果。通常是须要尝试来得到的。
SVM经典文章:http://blog.pluskid.org/?page_id=683
原文:http://www.cnblogs.com/blfbuaa/p/7259149.html