冒泡排序算法的运作如下:(从后往前)
冒泡排序法的时间复杂度:
若文件的初始状态是正序的,一趟扫描即可完成排序。所需的关键字比较次数C和记录移动次数M均达到最小值:Cmin=n-1,Mmin=0 。
所以,冒泡排序最好的时间复杂度为 O(n)。
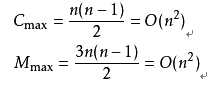
  若初始文件是反序的,需要进行 n-1趟排序。每趟排序要进行 n-i次关键字的比较(1≤i≤n-1),且每次比较都必须移动记录三次来达到交换记录位置。在这种情况下,比较和移动次数均达到最大值:
 
冒泡排序的最坏时间复杂度为O(n2)。
综上,因此冒泡排序总的平均时间复杂度为 O(n2)。
算法稳定性:
冒泡排序就是把小的元素往前调或者把大的元素往后调。比较是相邻的两个元素比较,交换也发生在这两个元素之间。所以,如果两个元素相等,我想你是不会再无聊地把他们俩交换一下的;如果两个相等的元素没有相邻,那么即使通过前面的两两交换把两个相邻起来,这时候也不会交换,所以相同元素的前后顺序并没有改变,所以冒泡排序是一种稳定排序算法。
Python程序:
 
def bubble(bubbleList): listLength = len(bubbleList) while listLength > 0: for i in range(listLength-1): if bubbleList[i] > bubbleList[i+1]: bubbleList[i] = bubbleList[i] + bubbleList[i+1] bubbleList[i+1] = bubbleList[i] - bubbleList[i+1] bubbleList[i] = bubbleList[i] - bubbleList[i+1] listLength -= 1 print(bubbleList) if __name__ == ‘__main__‘: bubbleList = [3, 4, 1, 2, 5, 8, 0] bubble(bubbleList) temp=a[i] a[i]=a[i+1] a[i+1]=temp
原文:http://www.cnblogs.com/BaiStone/p/7237126.html